Перейти к содержанию

Блоги

Блоги нашего сообщества

  1. Множество любителей рыбной ловли, в поисках ощущений, зачастую начинают увлекаться охотой ( стрельба из ружья ) под водой. Многим классическая ловля уже не приносит захватывающих ощущений. И поэтому решаются опробовать что-то для себя новое, что позволяет испытывать незабываемые чувства и ещё получить огромную дозу адреналина. Охотников тоже можно порадовать похожим оружием, а найти их можно вот тут.

    Главный и подходящий инструмент для охоты под водой-является ружье, качество которого влияет на многое.

    Для стрельбы из ружья под водой , покупать первое попавшееся не стоит, так как весь процесс охоты может обернуться в мучения, а всему виной может стать некачественный прибор.

    Для начинающих

    Для начинающего подводного охотника выбрать подходящее оружие будет затруднительно, но если Вы будете приобретать в специализированном магазине, то процесс подбора упростится и охота с ним может принести свои плоды.

    На рынке предложено множество оружий для проводников и каждое из них имеет свою собственную характеристику.

    Виды ружей для охоты под водой.

    Известно, что существует несколько видов ружей, как заводского изготовления, так и сделанные в ручную умельцами-профессионалами.

    Основные виды оружий для охоты являются:

    Пневматические;
     Пружинные;
     Газовые;
     Пороховые;
     Вакуумные;
     Гидропневматические;
     Арбалеты;
     Слинги.

    Ружья
    Как правильно выбрать ружье для охоты под водой?

    Важным фактором для подбора себе орудия охоты под водой, это его ключевые характеристики. Таковыми являются при подборе и самого важного элемента, это водоём и та глубина на которой будет происходить лов добычи. Не стоит пренебрегать советами, так как ружья имеют персональные характеристики для определённых водоёмов, будь то море или пресноводный водоём, для них существенно имеется множество различий и в выборе ружья необходимо подходить исходя из этого. В водоёмах, где большую часть водной поверхности занимает растительность, следует использовать короткоствольные ружья, которые позволяют охотнику легко маневрировать в толще воды.

    На глубинных участках лучшим решением будет оружие с длинным стволом, при условии, что видимость хорошая.

    Так же стоит учитывать на какую именно рыбу вы предпочитаете охотится или собираетесь. Здесь тоже есть свои нюансы, а именно мощность. Мощное орудие может быть тоже разным, бить с коротких дистанций в цель и на расстояние.

    Устройство механизма играет тоже не маловажную роль, есть орудия с совсем без шумные, а есть шумные. Многие виды рыб с осторожностью обходят стороной подводных охотников, а есть и любопытные. Выбор всегда остаётся за вами, какая будет цель, такова и будет добыча.

    В общем, что ещё можно сказать. Собрались на подводную охоту, а не загарать, так и ружьё необходимо выбирать более тщательно. Если с первого раза получится выбрать подходящую модель, то на долго забудете о проблемах. Идеальным вариантом для начинающих подводных охотников будет ружьё средней ценовой категории известных производителей этой ниши.

    Выбор ружья чем то напоминает выбор спиннинга, на его примере строится выбор. Спиннинг тоже подбирают под определённые веса приманок и дальности забросов. Один и тот же спиннинг не применяют на различных рыбалках при ловле разной рыбы, они классифицируются по тесту и так же обстоят дела при выборе ружья.

    Да любую вещь, которую вы собираетесь использовать для определённых целей, подбирают под конкретную рыбу.

    Источник: http://ribakclub.ru/ruzhja-dlja-rybalki-podvodnaja-ohota-s-ru/

  2. admin
    Последняя запись

    От admin Проверенный,

    Мы реанимировали сайт,  обновили форум, оптимизировали загрузку контента. Работы ближайшее время будут продолжаться.

    Для входа используйте свой логином (НикНейм) и пароль.

    Будем благодарны если будете сообщать о найденных глюках или пожеланиях

  3. 1.Цели и задачи.
    1. Развитие и популяризация подводной охоты в Челябинской области.
    2. Выполнение спортсменами квалификационных требований.
    3. Приобретение спортсменами соревновательного опыта.

    4.Пропаганды здорового образа жизни и бережного отношения к сохранению биологических ресурсов и уникальных природных богатств Урала.

    Соревнования проводятся в соответствии с «Положением о подводном рыболовстве (подводной охоте) в РФ» от 12.04.1997г., «Правилами проведения соревнований по подводному рыболовству (подводной охоте) в РФ», «Правилами проведения соревнований» от 12..04.1997г. и настоящим положением.


    2.Сроки и место проведения соревнований.
    Соревнования проводятся: 15-16 августа 2015 года, на Аргазинском водохранилище Аргаяшского района , Челябинской области . В районе села Байрамгулово.

    3. Руководство проведением соревнований.
    Общее руководство подготовкой и проведением соревнований осуществляет Федерация подв. сп. Чел. обл. и «Уральский клуб подводного спорта» (свидетельство о государственной регистрации некоммерческой организации от 20.04.2014 г. , за номером 1147400000703 ). Непосредственное проведение соревнований возлагается на Главную судейскую коллегию. Главный судья соревнований - судья 1 категории Скиндерев А. В., главный секретарь - судья 1 категории Маишев А.Г.

    Участники соревнований.
    Командное или личное участие - по заявлению об участии.
    Состав команды: 2 спортсмена.
    Команда имеет право привезти с собой судью-наблюдателя в лодку (по количеству лодок в команде) и указать его в заявке. Судьи-наблюдатели будут распределены по лодкам других команд путем жребия.
    В силу специфики подводной охоты, приветствуются судьи-наблюдатели мужского пола. Наличие телефона у судьи-наблюдателя, для связи с судьями в экстренном случае, обязательно.
    Один из спортсменов, команд не имеющих судей-наблюдателей, будет распределён между другими командами путем жребия; при этом, первый день приоритет выбора места охоты - за хозяином лодки, второй день - за гостем.

    Судье-наблюдателю и спортсмену в лодке не имеющему приоритет выбора места охоты, запрещается пользоваться навигатором.
    Контроль за спортсменами участвующим без лодок (на ластах), осуществляют судьи на акватории.
    Возможные комбинации состава участников и судей в лодке:
    - спортсмен и судья-наблюдатель;
    - два спортсмена и судья наблюдатель;
    - два спортсмена из разных команд.

    4.1. Требования, предъявляемые к участникам.
    4.1.1. К участию в соревнованиях допускаются спортсмены мужского и женского пола, достигшие возраста 18 лет, на момент подачи заявки. Состав участников не ограничен. К участию в соревнованиях допускаются все спортсмены, прошедшие предстартовый медицинский осмотр и регистрацию у Главного секретаря и сдавшие стартовый взнос 700 рублей.
    Для спортсменов подавших заявку и оплативших стартовый взнос до 14.08.2015 года по адресу ул. Сони Кривой 46, (магазин "РЫБАЛКА ПОДВОДНОЕ СНАРЯЖЕНИЕ", часы работы 10.00 - 18.00) , либо 14.08. 2015 в месте проведения соревнований на Аргазинском водохранилище с 18.00 до 22.00, взнос составляет 500 рублей
    4.1.2. Участники соревнований несут полную ответственность за своё самочувствие, готовность к выполнению физических нагрузок и к участию в соревнованиях, а также исправность и своевременную готовность своего снаряжения, о чём в мандатную комиссию соревнований подаётся соответствующая рапорт(анкета).
    4.1.3. Участники соревнований прибывают со своим снаряжением.
    4.1.4 К участию в соревнованиях допускаются только спортсмены имеющие полис страхования ­­­ от несчастного случая (получать самостоятельно в страховой компании до соревнования).

    4.2. Права и обязанности участников.

    4.2.1.Участники соревнований вправе использовать следующее снаряжение:
    - подводные ружья с резиновым или пневматическим боем,
    зарядка которого производится спортсменом за счет мускульных усилий без привлечения каких-либо внешних средств;
    - ласты;
    - маска;
    - дыхательная трубка;
    - защитный гидрокостюм;
    - носки; перчатки;
    - грузовой пояс;
    - нож;
    - гарпуны;
    - куканы;
    - часы;
    - глубиномер;
    - компас;
    - сигнальный буй с буйрепом;
    - подводный фонарь;

    Участники имеют право обращаться к судьям на акватории, с целью обратить внимание судей на какие-либо события или для экстренной помощи. Сигналом для этого является поднятая рука спортсмена.

    4.2.2. Участники соревнований обязаны:

    • знать и соблюдать настоящее Положение и Программу соревнований;
    • строго соблюдать правила безопасности во время тренировок и на соревнованиях;
    • выполнять распоряжения судей и организаторов соревнований, касающиеся правил их проведения ;
    • своим поведением и поступками не компрометировать звание спортсмена, уважительно относиться к мнению и действиям участников, судей и организаторов соревнований как непосредственно на соревнованиях, так и в местах размещения, питания и отдыха.
    • иметь обязательное снаряжение, соответствующее следующим параметрам:
    • нож (для подводной охоты);
    • сигнальный буй (яркого цвета, белый, желтый или оранжевый со шнуром (5-10 метров);
    • подводное ружье (пневматическое или арбалет, запасные гарпуны и наконечники);
    • грузовой пояс с аварийным сбросом.

    4.2.3. Участникам соревнований запрещается использовать следующее снаряжение:
    а) заряженные на берегу (или на борту судна сопровождения) подводные ружья;
    б) заряженные ружья, прикрепленные к бую или нырятельной доске.
    в) механических средств передвижения, кроме судна сопровождения


    4.2.4. Участникам соревнований запрещается :
    а) отплывать от судна сопровождения больше чем на 100 метров.
    б) подплывать к чужому сигнальному бую ближе ,чем на 30 м. ;
    в) подплывать к чужому судну ближе, чем на 100 м. ;
    г) обмен ,передача или продажа между спортсменами добытой рыбы ;
    д) нахождение спортсмена на акватории , во время соревнований без сигнального буя с номером ( номер выдаётся организаторами соревнований при регистрации участника ) на открытой воде буй должен прикреплен к спортсмену.
    е) допускается якорить буй в прибрежной зоне в коряжнике , либо на участке с густой растительностью , при этом участник не имеет право удаляться от буя более 25 метров ;
    ё) использовать в качестве трофея рыбу добытую или приготовленную заранее, то есть не во время соревнований ;

    За нарушение подпункта "а"и "б" п.4.2.3, а так же подпункта "г", "д", "ё" п. 4.2.4.,спортсмен подлежит дисквалификации, а его результат аннулируется.

    За нарушение подпункта "б", "в", "е" п. 4.2.4., с результата спортсмена снимается 2000 очков за каждый случай.

    4.3. Условия проведения соревнований.

    4.3.1. Акватория соревнований :Аргазинское водохранилище , Аргаяшского района , Челябинской области , Россия .
    4.3.2. Старт и Финиш осуществляются в одной точке, с берега водоёма .
    4.3.3. У участника , опоздавшего на финиш, добытые трофеи не взвешиваются и не учитываются в общем зачётном весе .
    4.3.4. Участникам не разрешается выезд из района проведения соревнований. Участник нарушивший данный пункт - снимается с соревнований.

    4.3.5. За сутки до открытия соревнований участникам соревнований запрещается любой вид рыбной ловли и подводной охоты на водоеме.

    Для передвижения по акватории участникам разрешено использование любых, зарегистрированных водных транспортных средств

    4.4. Список рыб и зачетные веса.

    Карп - от 2000 г.
    Щука - от 700г.
    Все остальные виды рыб от 500 г.
    Количество добытых рыб одного вида, не ограничивается.
    В зачет идут экземпляры рыбы, разрешенной к вылову Правилами рыболовства и настоящим Положением, предоставленные на взвешивание.
    Добытая рыба, после взвешивания, участникам не возвращается.

    5. Определение победителей и награждение.
    Победитель определяется по наибольшей сумме очков всех зачетных экземпляров:
    -за 1 гр. рыбы начисляется 1 очко.
    - за каждую добытую рыбу начисляются дополнительные 500 очков .
    Награждение проводится в номинациях :
    - Командное первенство .
    -Личное первенство.
    -Самая тяжелая рыба.
    По итогам Открытого кубка Челябинской области по подводной охоте участникам присваиваются спортивные разряды , официально зарегистрированные в ФЕДЕРАЦИИ ПОДВОДНОГО СПОРТА РОССИИ.

    6. Обжалование.
    Каждый участник соревнований вправе обжаловать действия судей и других участников, подав письменное обращение на имя Главного судьи и уплатив пошлину 3000 ( три тысячи ) рублей, в течении 30 минут после взвешивания.
    В случае разрешения спорной ситуации, в пользу обратившегося, данная сумма возвращается участнику. В случае не подтверждения фактов нарушения, данная сумма не возвращается заявителю и поступает в фонд проведения последующих соревнований Уральским клубом подводного спорта .

    7. Программа соревнований.
    «14» августа 2015 г.
    Заезд и размещение участников.
    С 18.00 до 22.00 - Регистрация участников (взнос 500 рублей).
    «15» августа 2015 г.
    с 8.00 до 10.00 – Регистрация участников (взнос 700рублей).
    в11.00– Торжественное построение.
    в 12.00 – Старт.
    в 12.10 - субботник
    в 18.00 – Финиш.
    с 18.00 до 20.00 - Взвешивание трофеев.
    «16» августа 2015 г.
    в 9.00 –Старт.
    в 15.00 – Финиш.
    с 15.00 до 17.00 – Взвешивание трофеев, подведение итогов соревнований , рассмотрение жалоб участников соревнований .
    в 17.00 – Торжественное построение. Церемония награждение победителей . По окончанию закрытие соревнований .

    8. Заявки.
    Заявки и стартовые взносы принимаются до 15.08.2015 г .( до 10 ч . 00 мин. ) .
    Предварительные заявки принимаются до 14 августа 2015 г., по адресу г. ЧЕЛЯБИНСК ул .Сони Кривой 46.( магазин РЫБАЛКА ПОДВОДНОЕ СНАРЯЖЕНИЕ ) часы работы 10.00 - 18.00., (стартовый взнос 500 рублей).
    По всем вопросам организации проведения соревнований обращаться по
    тел. 8 951-240-23-44 Скиндерев Александр
    8 9-323-009-009 Козин Сергей

    9. Безопасность
    Ответственность за общую безопасность проведения мероприятия возлагается на организаторов соревнований. Каждый участник несет личную ответственность за свое физическое состояние и соблюдение мер безопасности (личной, пожарной, на воде, при обращение с оружием).
    Участники, проживающие в палаточном городке несут личную ответственность за соблюдение мер пожарной безопасности.
    Просьба ко ВСЕМ , прибывшим на соревнование , уважительно относится к природе , соблюдать чистоту и правила поведения.

    Настоящее положение является официальным вызовом на соревнования.

    Координаты места сбора и дополнительную информацию можно посмотреть в теме

     

  4. admin
    Последняя запись

    От admin Проверенный,

    В продолжении ранее опубликованному материалу

    Часть 1. Из опыта эксплуатации...

    Два полных охотничьих сезона позволили основательно проверить работоспособность механизма и его эксплуатационные свойства.

    В реальной охоте произведено 924+-50 выстрелов. Заряжание производилось за 2-3 приёма - чаще за 3, поэтому число фиксаций гарпуна можно принять ~3000. Усилие на гарпуне до 36 кГ...

    Эксцентриковый ФЗСМ (фрикционный запорно-спусковой механизм) работал надёжно - случаев нештатной работы не было. В первом сезоне были проблемки, носившие объективный характер, связанные с ослаблением пружин из-за коррозии.

    Во второй сезон все пружинки были заменены на нержавеющие и механизм работал беспроблемно…

    Рис.1.15. Общий вид механизма со снятым кожухом в конце второго сезона.

    Видимых изменений не наблюдается.

    Рис.1.16.

    Произошла нагартовка места контакта с гарпуном и накатаная «дорожка» перестала расти. Максимальная глубина накатки ~0,2 мм.

    На гарпуне нет видимых следов-отпечатков... Следующий сезон можно продолжать эксплуатировать ружьё без каких-либо дополнительных работ.

    Достаточно интенсивная эксплуатация подтвердила, что ружьё с ФЗСМ обладает набором положительных свойств, которым не обладают ружья с другими типами ЗСМ.

    С точки зрения повышения безопасности, ФЗСМ позволяет:

    а) В любой момент остановить заряжание, отпустить гарпун и он останется на месте. Нет необходимости собирать силы и делать одномоментный «рывок» на полную длину гарпуна.

    Уменьшается опасность изгиба или поломки гарпуна от потери устойчивости.

    б) Не нажимать при заряжании на спусковой крючок, что облегчает процесс.

    в) Заряжать, загоняя гарпун одновременно двумя руками, что может значительно увеличить усилие заряжания без дополнительной нагрузки на мышцы.

    г) Производить заряжание короткими ходами, что легче и руки напрягается гораздо меньше, т.к. могут находиться в оптимально согнутом, наиболее удобном положении.

    Создаётся ощущение «слабоватой накачки»… Это, вместе с п.п. «б» и «в», выливается в «непроизвольное» желание подкачать - в итоге, приводит к увеличению энергии выстрела. Например, для описываемого ружья, за счёт применения ФЗСМ, «стандартная» закачка возросла с 20 до 30 кГ…

    Этот же момент отмечали все охотники, использующие ружья с ФЗСМ этой схемы.

    д) Обойтись в конце хода заряжания без дополнительного усилия для постановки на взвод – его, просто, нет.

    е) Использовать гарпун без проточки под зацеп, которая является одной из частых причин травматизма.

    ж) При заряжании убрать руку с "линии огня". Заряжалка превращается в простейшую конструкцию в виде пластинки с боковым вырезом (или что-то подобное).  

    Для заряжания использовалась доработанная титановая заряжалка, аналогичная описанной в книге Виноградова В.И., с дополнительным боковым вырезом

    Рис.1.17.

    Она заводится на гарпун сбоку и за счёт несимметричного приложения силы «закусывает» гарпун.

    Даже, если она соскользнёт, то гарпун останется в надульнике на месте…

    Такой способ заряжания даёт возможность без опаски заряжать относительно тонкие гарпуны с очень большими усилиями. При этом, заряжание, вполне, безопасно.

    Выглядит процесс так

    Такой способ заряжания и есть одно из основных преимуществ использования ФЗСМ.

    Длина гарпуна не ограничена длиной рук.

    Кроме того:

    з) При износе эксцентрика или других элементов, механизм имеет возможность самостоятельно это компенсировать, подстраивая угол установки эксцентрика – он повернётся дальше, подставив не изношенную часть.

    Причём, при износе удерживающая сила и надёжность фиксации возрастают!! Одновременно увеличивается усилие на СК - это может являться признаком износа и сигналом к проведению ревизии механизма.

    и) В механизме нет высоконагруженных изнашиваемых зубцов, выступов, рабочих кромок и т.п.

    к) В заряженном состоянии гарпун надёжно удерживается в стволе от выпадения и поворота, что важно, например, при использовании многозубов.

    л) Механизм находится снаружи (не в ресивере) и легкодоступен для осмотров и своевременного ремонта...

    м) Поршень, в виду отсутствия надобности в заднем зацепе и системы фиксации хвостовика, может иметь минимальные размеры и массу (меньше, чем у «клапанников»), что облегчает задачу по его демпфированию.

    Часть 2. Ружьё из Литвы.

    Подводный охотник из Литвы vladimir5225 сделал несколько ружей с эксцентриковым ФЗСМ.

    Рис.2.1. Его первый механизм под ресивер Ф40 со снятым кожухом

    Рис.2.2. Второе его ружьё в ресивере Ф32 с ФЗСМ и "отсечкой ствола" под гарпун Ф8.

    Для проверки надёжности и безопасности, он предпринял попытки сделать "самострел" воздействуя на тягу и ружьё различными способами, в том числе ударными. Конструкция обеспечивает высокую "несамострельность", т.к. спусковая тяга блокирована с обеих сторон.

    Рис.2.3. ФЗСМ с боков и сверху закрыт кожухом. Он удерживает оси от выпадения, а закрывать механизм снизу нет особой необходимости...

    Рис.2.4. Спусковое устройство с полуавтоматическим предвзводом - по работе, аналогично описанному в первой статье.

    Рис.2.5. Разобранное.

    Рукоятка притягивается к ресиверу при помощи гайки и болта, приваренного к хомуту (нерж. 1 мм) - это позволяет крепить рукоятку в произвольном месте по длине ресивера.

    Поршень из капролона с двумя кольцами.

    Рис.2.6. Клапанный узел в казённике.

    В ружье с ФЗСМ задняя часть ружья свободна от механизмов и позволяет легко встроить систему «отсечки ствола». Установлен простейший клапан, который даёт возможность, не стравливая воздух, снять надульник иили извлечь поршень, например, для замены колец.

    Ещё один положительный момент – ружьё можно хранить с не нагруженными поршнем и демпфером, чтобы они от постоянного сдавливания не теряли форму и демпфирующие свойства. Для этого клапан закрывается (перекрывает ствол), производится частичное заряжание и гарпун вынимается. В зависимости от того, насколько было заряжено ружьё, поршень либо слегка упрётся в демпфер, либо останется в промежуточном положении…

    Подробнее об «отсечке» ствола здесь

    http://apox.ru/blog/Podvodnaya-ohota/7-Oryjeinii-opit/371-Ylychshenie-eksplyatacionnih-svoistv-pnevmaticheskih-ryjei-Chast-1

    На этом ружье, впервые, на данном типе ФЗСМ, проверялась возможность использования гарпуна с утолщённым хвостовиком (под «заднюю привязку») - гарпун Ф7 с хвостовиком Ф8. При выстреле спусковой механизм свободно пропускает утолщение гарпуна.

    Т.е. ФЗСМ можно использовать с «задней» привязкой.

    Часть 3. Беспоршневое ружьё с эксцентриковым ФЗСМ.

      За основу для изготовления «беспоршневого» ружья (БП) с эксцентриковым ФЗСМ был взят комплект деталей коллеги РаСВЕТ из Минска.

    Рис.3.1. Схема переделываемого ружья

    Для ружья был разработан ФЗСМ с шепталом, расположенным непосредственно в надульнике.

    Такое решение позволяет переделать уже имеющееся ружьё и установить на нём ФЗСМ с минимальными переделками - фактически, может быть заменён только надульник.

    Рис.3.2. Механизм отличается от описанного выше пружинами и наличием шептала, взаимодействующего непосредственно с качалкой

    Рис.3.3. Схема установки пружин и шептала

    Система удержания гарпуна осталась без изменений - эксцентрик на поперечной качалке. Вместо пяти пружин, на всём ружье осталось только две: многофункциональная пружина 4 на оси, расположенной сзади оси навески качалки, и пружина шептала 11.

    На рис.3.2 механизм в положении заряжено: нижнее плечо пружины давит на эксцентрик, не доставая качалки.

    При нажатии на спусковой крючок (СК), тяга 5, своим отогнутым вверх концом, сначала отводит нижнюю поперечную часть пружины 4 от качалки, обеспечивая место для её свободного отхода назад при выстреле. Затем пружина наползает на отогнутую вверх часть шептала 6 и давит на него. Шептало опускается вниз, отпускает качалку и происходит выстрел. В этот момент передние верхние концы пружины давят на качалку (против чс) и удерживают её в заднем положении предотвращая повторный захват вылетающего гарпуна.

    За счёт разности плечей приложения сил к качалке, относительно оси её навески, в свободном состоянии качалка поджата вперёд и упирается в надульник.

      При отпускании СК после выстрела, тяга 5 под воздействием пружины 4 движется вперёд, при этом нижнее плечо пружины поворачивает качалку до упора в надульник.

    Под действием пружины 11 шептало поднимается фиксируя качалку в переднем положении и механизм переходит в положение готовности к заряжанию. При этом нижнее плечо пружины упирается в заднюю часть качалки, а эксцентрик находится между стенкой надульника и пружиной.

      При введении гарпуна в надульник, он сдвигает эксцентрик к пружине, отжимает её,а она прижимает эксцентрик к гарпуну, обеспечивая необходимое первичное поджатие.

    Таким образом пружина 4 осуществляет:

    • предвзвод механизма при отпускании СК,
    • удержание качалки в заднем положении во время выстрела,
    • подпружинивание эксцентрика при заряжании,
    • воздействие на шептало при нажатии на СК.

      Шептало 6 установлено на вертикально ввёрнутом винте и имеет возможность своими "зубами" фиксировать качалку в переднем положении. Винт поджимает шептало через упругую прокладку, что даёт возможность шепталу небольшого перемещения вверх-вниз, достаточного для функционирования....

    Рис.3.4. Исходные детали. Сверху, для сравнения, "штатный" надульник.

    Новый дюралевый надульник немного длинней, но, после изготовления выяснилось, что его можно было сделать короче на 3 мм..Т.е. по длине надульник с ФЗСМ может быть, практически, равным надульнику с «эксцентриковым» шепталом.

    Эксцентрик сделан из титанового сплава ВТ1 - это позволило уменьшить нагрузки, в том числе контактные, примерно, в два раза по сравнению со стальным.

    Рис.3.5. Эксцентрик предварительно прикатан гарпуном с силой > 60 кГ – на нём образовалась «дорожка»…

     

    Прикатка позволяет увеличить площадь контакта эксцентрика с гарпуном и предотвратить пластическую деформацию при эксплуатации.

    Диаметр эксцентрика 14 мм, шейка 5 мм, суммарный угол проточки 55 гр, ось Ф3, эксцентриситет 4 мм.

    Реальный коэффициент трения между эксцентриком и гарпуном получился f = ~0,21 (пересчитан исходя из реально работающего угла клинения). Т.е. при расчетах не следует брать «табличный» коэффициент трения f = 0,3 – лучше ориентироваться на 0,2..

    При усилии заряжания 30 кГ, в каждой из двух точек контакта на конических стенках действуют силы по ~70 кГ.

    Пружина сделана из нержавеющей проволоки Ф0,72 мм, извлечённой из дозатора мыла.

    Рис.3.6. Изгибание пружины производилось вручную, но возможно изготовление специального шаблона.

    Половинки качалки сделаны из "нержавейки" толщиной 1,5 мм; лишний металл с них срезан для облегчения - чем легче детали механизма, тем быстрее он срабатывает и в нём меньше инерционные нагрузки.

    Рис.3.7. Механизм вписывается в ширину 15 мм.

    Рис.3.8. В месте, где по качалке проходит пружина сделано "заглубление" на 0,3 мм для того, чтобы она вписалась в общую ширину. Также на надульнике сделаны выборки под пружину, чтобы "притопить" её и вписать в габарит.

    Для того, чтобы взведение происходило нормально, нужно чтобы эксцентрик в момент возврата качалки в переднее положение, повернулся назад.

    С этой целью на пружине шептала сделан специальный изгиб, в который упирается эксцентрик и встаёт в нужное положение. Механизм незначительно выступает снизу за габарит ресивера (Ф22) - практически, на толщину тяги СК.

    Все оси посажены "по свободной" и удерживаются от выпадения стенками кожуха.

    Рис.3.9. Кожух сделан из твёрдой «дюральки» S = 0,7 мм

    Тяга из нержавейки Ф2 мм, прижата вплотную к ресиверу и удерживается кожухом. Самострел из-за воздействия на тягу, теоретически и практически, очень маловероятен.

    Для этого тягу нужно сдвинуть назад минимум на 5 мм, т.к. в начале хода тяги происходит только оттягивание пружины, без воздействия на шептало. Зацепить тягу, чтобы сдвинуть её назад, не за что.

    При боковом воздействии, чтобы произошёл выстрел, тягу нужно выгнуть в сторону больше, чем на 15-20 мм...

    Кожух крепится четырьмя штифтами Ф1,2, на которые он защёлкивается за счёт упругости.

    Рис.3.10. Система быстрой отстыковки линя и крышка фиксирущая кожух.

    Работа механизма

    Рис.3.11. В сборе

    Тяга СК, практически, неуязвима от внешних воздействий - она плотно прижата к ресиверу и прикрыта линём.

    Заряжать можно взявшись за ресивер поверх тяги - при заряжании она не движется.

    Опробование

     ФЗСМ устраняет два недостатка присущего БП:

    • отсутствует проточка на гарпуне
    • не надо нажимать на СК при заряжании.

    Можно использовать неполное заряжание, т.е. уменьшенную силу боя, но только при использовании «псевдозадней» привязки гарпуна - иначе будут проблемы с намоткой линя (меняется длина).

    ФЗСМ с подобной, встроенной, системой спуска подойдёт для длинных "морских" ружей - можно использовать относительно тонкие гарпуны, длина которых будет ограничена не условиями заряжания, а лишь их устойчивостью в стволе. При этом тяга работает на растяжение; её можно сделать тонкой (вплоть до проволоки) и спрятать внутрь ресивера.

    Часть 4. Как правильно сделать эксцентриковый ФЗСМ…

    Для примера опишу процесс разработки ФЗСМ для ружья с ресивером Ф30, который может подойти, например, к РПП.

    Для начала нужно определиться с диаметром гарпуна и типом привязки.

    Допустим выбрали Ф7 с «задней привязкой» и хвостовиком до Ф8.

     1. Диаметр шейки эксцентрика лучше принять равным диаметру гарпуна – 7 мм

     2. Эксцентриситет эксцентрика (расстояние от оси эксцентрика до оси его навески) – минимальный, обеспечивающий установку пружинки на ось, т.е. 5,5-6 мм

     3. Необходимо выбрать материал эксцентрика и, исходя из этого, угол конической проточки эксцентрика – для стали 30 гр, для титана 50-55 гр.

    Если использовать титановый сплав, то все силы в механизме значительно уменьшатся, эксцентрик получается более компактным и менее нагруженным, но не у всех есть доступ к титановым сплавам, поэтому для примера выберем стальной.

    4. Прорисовка в увеличенном масштабе. Настоятельно рекомендуется сделать масштабные прорисовки, чтобы не "пролететь" с надёжной фиксацией иили чрезмерным увеличением контактных напряжений (если угол клинения будет слишком маленьким)...

    Рис.4.1.

    Расстояние от гарпуна до шейки 0,5-0,8 мм. На основании прорисовки делается чертёж эксцентрика

    Рис.4.2.

    Максимальный угол клинения (установки) эксцентрика определяется по формуле A = arctg f*.

    f* = f/sin G/2, где G – полный угол проточки (в нашем случае 30 гр), а f – коэффициент трения стальсталь.

    Получаем А = 21 гр - это максимальный угол установки кулачка (клинения), при котором возможно «самозаклинивание» гарпуна.

    Рис.4.3.

     m - точка контакта эксцентрика и гарпуна

     A - угол клинения

     Б - угол наклона качалки

    При изготовлении эксцентрика, сначала сверлится отверстие под ось. Желательно, прикатать эксцентрик гарпуном с силой ~80 кГ.

    Усилие на шептале имеет большую зависимость от разности углов клинения эксцентрика и наклона качалки (Б - А) - чем эта разность меньше, тем меньше усилие спуска... а при разности равной нулю и усилие равно нулю, если пренебречь трением.

      5. Исходя из диаметра надульника, выбирается расстояние от гарпуна до оси навески качалки (верхняя) – чем больше, тем лучше. Желательно, чтобы верхние части качалки не выступали за диаметр надульника – проще будет установить кожух.

      6. Определяется расстояние между осями на качалке

    Рис.4.4.

    1 - отверстия в надульнике под верхнюю ось качалки 

    2 - гарпун

    3 - отверстие под ось в эксцентрике

    Замер размера l делается, когда весь "пакет" сжат (по вертикали).

    L - межосевое расстояние на качалке.

    Если L,>

    Если L будет много больше l, то угол наклона качалки неоправданно увеличится, подняв усилие на СК.

    7. Прорисовка механизма.

    Рисуется эксцентрик, под наклоном равным расчетному 21 гр, прижатый к гарпуну. Точка контакта эксцентрика и гарпуна определяется из прорисовки эксцентрика (рис.4.1).

    Угол установки качалки получается «автоматически» (методом засечек), т.к. уже известно межосевое расстояние и расстояние от гарпуна до верхней оси.

    Остальное «обрисовывается» вокруг этих элементов.

    Рис.4.5.

    Вообще, весь ФЗСМ состоит из двух систем:

    1. Запирающая (заклинивающая) гарпун - эксцентрик и качалка

    2. Удерживающая качалку - собственно, спусковой механизм (в данном случае, толкатель 9 и шептало, расположенное в рукоятке). Эту систему можно сделать с полуавтопредвзводом, как описывалось в первой статье, или с ручным предвзводом.

      Процесс ручного предвзвода представляет собой поворот качалки вперёд до срабатывания шептала - это можно сделать сдвинув толкатель 9 вперёд или, непосредственно, за качалку 3 (можно сделать на ней "приливчик" слегка выступающий вниз)... В этом случае, в рукоятке останется СК на оси, превратившийся в шептало.

    «Авто» сложнее в изготовлении и настройке, чем ручной...

    Ручной предвзвод осуществляется «лёгким движением руки» и, абсолютно, не обременителен.

      Сверление в надульнике сделано Ф8 (для прохода утолщённого хвостовика), поэтому снизу, под гарпуном Ф7 имеется зазор до надульника величиной 1 мм. Работе механизма это обстоятельства не мешает, т.к. гарпун поджимается к верхней части сверления с силой в десятки килограмм, а при выстреле гарпун ведёт себя так же, как в любом другом ружье с «задней» привязкой.

    Пружина 2 – парная (с двух сторон), давит на качалку, заставляя её поворачиваться назад (против чс). При выстреле качалка удерживается в заднем положении, не давая эксцентрику повторно зацепить гарпун.

    Пружина, установленная на оси навески эксцентрика (витая из проволоки Ф0,5 мм), стремится повернуть эксцентрик вперёд (против чс) и нужна для поджатия эксцентрика к гарпуну при заряжании и его увода вниз при выстреле, чтобы утолщённый хвостовик не цеплял эксцентрик.

    Ось 5 не даёт эксцентрику упасть вниз, а при возвращении в исходное положение обеспечивает его позиционирование.

    При возвращении качалки вперёд, эксцентрик должен упереться в переднюю стенку надульника и, скользнув по ней, провернуться по чс.

    В ось 4 упирается толкатель 9 подпёртый шепталом (в рукоятке), который и запирает механизм (см. первую статью).

    7 - положение оси 4 во время выстрела... Резьбовые гнёзда 10 - для винтов крепления кожуха.

    Пружина 2 всегда поджимает качалку к толкателю 9 и, изменяя его длину, можно изменять угол установки качалки во взведённом состоянии.

     При заклинивании гарпуна в эксцентрике создаются большие усилия, пытающиеся "раскрыть" его наружу.

    Рис.4.6.

     

     Т.е. при заклинивании ширина эксцентрика увеличивается... На сколько - зависит от диаметра шейки эксцентрика.

     Если половинки качалки плотно прилегают к боковым поверхностям эксцентрика, а они, в свою очередь, к стенкам кожуха, то возможно подклинивание эксцентрика. Это может привести к "незахвату" гарпуна или к "зависанию" эксцентрика в каком-то промежуточном положении.

     Кроме того, если при изготовлении нарушена симметрия, то возникнут перекосы, которые под нагрузкой могут увеличиться...

     Можно сделать такие рекомендации:

     1. Эксцентрик нужно делать из достаточно прочного материала с диаметром шейки не меньше, чем диаметр гарпуна (на всякий случай +1 мм).

     2. Лучше, всё же, из титанового сплава - угол клина будет больше и, соответственно, расклинивающая сила меньше.

     3. Необходимо обеспечить гарантированное свободное перемещения эксцентрика и качалки. Для этого нужно иметь гарантированные зазоры А и Б.

     Оптимальным вариантом было бы изготовление цельной качалки.

    Между эксцентриком и боковинами желательно установить тонкие шайбы - этим обеспечится возможность беспрепятственного "разведения" эксцентрика.

      Предварительные расчеты угла клинения «разбиваются» о незнание точного значения коэффициента трения между гарпуном и эксцентриком, поэтому гарантированной надёжной работы прорисовки дать не могут.

    Если, после сборки, окажется, что гарпун проскальзывает и плохо фиксируется - это означает, что угол клинения получился великоватым. Для отладки механизма, нужно понемногу укорачивать толкатель - при этом уменьшается угол установки качалки, и, одновременно, угол клинения. Укорачивая толкатель всегда можно сделать захват надёжным, но слишком сильно укорачивать не стоит, т.к. будут увеличиваться силы в механизме - только до момента, когда при максимальном усилии на гарпуне захват будет надёжным, без намёков на проскальзывание.

      Дугообразный вырез надульника (над эксцентриком) нужен для того, чтобы эксцентрик мог поворачиваться на оси в переднем положении при взводе.

    Для обеспечения прохождения утолщённого хвостовика, эксцентрик должен при заряжании проворачиваться по чс, а при выстреле против чс, на углы достаточные для этого. Эксцентрик следует подрезать по месту там, где он ложится на оси - до тех пор, пока он не будет свободно пропускать хвостовик при заряжании и выстреле.

      Половинка качалки – нержавеющая сталь 1,5-2 мм… можно титан. Желательно срезать с неё всё лишнее - чем легче элементы механизма, тем быстрее он будет срабатывать и с меньшими нагрузками...

    Надульник с боков сфрезерован:

    - в зоне А до ширины эксцентрика - 11 мм

    - в зоне Б до 11 + две толщины качалки + ~0,4, т.е. ~15,4 мм.. зазоры по 0,2 на сторону, чтобы не "затирало" качалки...

    На зону Б устанавливается П-образный кожух, который препятствует выпадению осей.  Длина всех осей ~15,2.

     Следуя вышеизложенным рекомендациям, mars сделал несколько ружей с ручным предвзводом

    Рис.4.7. Механизм собран на болтах с гайками в роли осей; кожух отсутствует

    Рис. 4.8. Ружья с разными по конструкции шепталами в рукоятках

    Отзывы о ФЗСМ и, в целом, о ружьях очень положительные.

    Дальнейшие работы по совершенствованию ружей направлены на создание конструкции, оптимизированной под ФЗСМ, в которой тяга спрятана в ресивер.

    Хочу напомнить - только грамотное проектирование и исполнение дадут требуемый результат...

    Мигачев Александр (Mexaниk)
    Декабрь 2014
    Ульяновск 

  5. Как часто вам приходилось уныло просиживать полдня с удочкой или спиннингом, устало щурясь, глядя на недвижимый поплавок? Наверняка такие ситуации в вашей жизни случались, и вы проклинали водоем и рыб, живущих в нем за ужасный аппетит. Уверены, что доводилось вам терять и шикарные блесны, которые цеплялись за коряги и путались в оставленных кем-то сетках. А подводные охотники наверняка бы предпочли добыть хорошие и редкие трофеи.

    Как бы шикарно было прочитать отзывы знающих людей, которые могли бы дать советы и высказать свое мнение о данном конкретном озере, реке или участке моря ДО вашего неудачного похода!

    Ведь тогда все могло бы пойти иначе, и вы выбрали бы совсем другое место.

    resize_938869b6c4c6f8ec1c079c7138a6fab2.

    И вот теперь у вас есть такая возможность!

    Разрешите представить вашему вниманию приложение «Рыбохот», где каждый рыбохотник может отметить место удачной или не очень рыбалки, высказать свое мнение и поставить оценку определенному водоему. Таким образом, на основании отзывов многих рыболовов формируется рейтинг озер, рек и морей, позволяя выбирать наиболее удачные из них.

    Само приложение представляет собой своеобразный дневник, в котором рыбак или подводный охотник может писать заметки, публиковать фотографии, делиться ожидаемыми событиями и местами с товарищами по увлечению.

    Это приложение доступно для устройств, работающих под управлением операционной системы Android в Google Play бесплатно. Каждый рыбак получит первоклассный навигатор по местам рыбалки и подводной охоты с возможностью оценки мест по шкале «рыбности».

    Рыбоход

    Вы сможете получить проверенную как минимум несколькими рыбаками информацию об определенном озере или водохранилище, и проверить свою удачу, выбрав водоем для рыбалки на ближайшие выходные. Достоверность заметок определяется рейтингом, и потому обмануть других рыбаков нерадивым пользователям не удастся.

    Но удача – птица своенравная, и не всегда любит хвастунов. Поэтому при необходимости каждый пользователь может скрыть статистику улова на любимых водоемах, выбрав приватный режим, и тогда доступ к заметкам будут иметь только самые близкие друзья. Иными словами, «Рыбохот» - это еще и своеобразная социальная сеть для рыбаков и любителей подводной охоты, в которой можно завести новых знакомых, пообщаться на любимую тему и дать полезные советы новичкам.

    Мы надеемся что приложение «Рыбохот», станет полезным навигатором не только для отличного и интересного время провождения, но так же предоставит больше информации о местах рыбалки и подводной охоты и возможных опасностях. Берегите природу!

    Обсуждение, пожелания и вопросы по приложению оставляем на форуме в ЭТОЙ ТЕМЕ  

  6. wap
    Последняя запись

    Все знают, что Астраханский край летом это сказочная рыбалка, арбузы, дыни, великолепные помидоры иные овощи и фрукты. Все знают и уже привыкли, что дожди летом тут большая редкость, а перечисленные выше блага , сочетаются с невыносимой жарой, при которой без кондиционера житель средней полосы в полдень не выдержит и пары часов. Мы с женой тут не исключение, потому отправляясь в начале августа на базу «Глаголь» взяли с собой лишь самую лёгкую одежду, рассчитанную на + 30, +40. В последний момент жена, она же по совместительству мой учёный секретарь и ангел хранитель, положила в сумку плащи. Так, на всякий случай. Мы и предположить не могли, что они так скоро нам понадобятся.  Зеленга встретила нас не дождём, а настоящим ливнем. К счастью, продолжался он не долго, но вполне достаточно для того, чтобы глинистые дороги у причала превратились в настоящий каток. Как это часто бывает, после дождя резко похолодало, согласитесь, что +16 после +32 далеко не мёд.  Лёгкие штормовки, одетые поверх рубашек с длинными рукавами на берегу решили проблему, но когда мы думали о предстоящей поездке на открытой лодке, становилось  грустно.  Какова же была наша радость, когда приехавший за нами егерь после приветствия вручил каждому по тёплому одеялу. Укройтесь, а то на ветру прохладно будет, сказал он.

    resize_3b4b319ce5c1f457f5632d5ccc9c2625.

    Между тем, по небу бродили рваные дождевые облака, из которых с небольшими интервалами срывался то мелкий, а то и не шуточный дождь.  Пару раз он побрызгал на нас и на переходе. Пришлось ещё раз убедиться  не только в мудрой предусмотрительности жены, прихватившей плащи, но и, что особенно важно, в заботливости принимающей стороны, в лице администратора Тамары Павловны.  Она же встретила нас на причале, как только лодка подошла к нему.

    resize_d2c4c4ef48fe3b7e8c568621293236f4.

    resize_551a59f0f4bf778d72e8488fefa557a0.

    встречает гостей, провожает их в номер, а те принимают багаж из лодки и несут вслед за прибывшими.

    resize_b395dc23262acae58ca56135d810fa10.

     

    resize_479f00fb193e83dbfdc0ffc4435d424b.

     

    Когда проснулись, часы показывали половину шестого, за окном сквозь поредевшие облака светило солнце, а о дожде напоминал лишь мокрый настил причала. Стало по-летнему тепло. Что ни говори юг, есть юг. Забегая вперёд, скажу, что с погодой нам повезло. Если для аборигенов нынешнее лето было непривычно холодным, то нам, жителям средней полосы, оно более чем понравилось. В шесть утра было не менее 18 -20 градусов, а  в разгар дня 25 – 28. Несколько раз ночью шёл дождь, что нисколько нам не мешало. Рыбацкому сердцу не терпелось на рыбалку, быстренько оснастил лёгкую удочку,  взял баночку  с кукурузой и вышел на уже высохший причал. Поклёвки следовали одна за другой. Ловилась тарашка, не сказать, что крупная, но и не мелкая, по московским понятиям относящаяся к категории, мерная. Поскольку рыба мне была не нужна, пойманные пленницы тут же отправлялись  в родную стихию. Подошёл егерь, представился и поинтересовался планами на завтра. Мне не терпелось на подводную охоту, но прошедший дождь и всё ещё не стихший ветер не позволяли надеяться на достаточный прозрак в мелководной акватории раскатов. Договорились, что в восемь утра поедем ловить сомов. Булат, так звали моего егеря, пообещал наловить лягушат, прежде чем я открыл рот, чтобы попросить об этом. Не часто такое случается. Оставив в покое тарашек, я занялся подготовкой снастей.

     

    resize_509d27b0c8e68652d1e97aa20f661bde.

     

    resize_8136eccc0847d8d7d247ba32b19ba398.

    resize_95a887b7816b13ed0a81f43a88c3027d.

     

    resize_5b8917fc7db7178408556dd3e5b4e75d.

     

    Ласковые звери стали всеобщими любимцами персонала и отдыхающих. Обилие ериков и проток в непосредственной близости создают идеальные условия для рыбной ловли на любой вкус, а зелень острова не только радует глаз, но и позволяет прогуляться по суше, отдохнуть в тени раскидистых деревьев.

    resize_72bae914eed3b4b34b0a1949f9b0cd69.

     

    resize_5986e372c5175772fbecf5e0cf5974ce.

     

    За газоном ведётся постоянный уход, проводится регулярная стрижка, что делает его ещё более красивым.  Про сами гостиницы распространяться не буду, скажу только, что написанное в проспектах вполне соответствует действительности. Кругом чистота и порядок, а вежливый, доброжелательный и предупредительный персонал создают идеальные условия для отдыха своих клиентов. Если к этому добавить чистейший воздух и тишину, нарушаемую только пением птиц, то, как мне кажется, описание рыболовного рая будет достаточно полным.

    Часы показывали двадцать минут девятого, когда Булат бросил якорь посредине довольно узкой протоки.  Затем, уткнув нос будары в камыши,  он верёвкой обвязал целый их сноп и, подтянув якорный конец, поставил  лодку поперёк течения примерно в  двух метрах от стены камыша. Всё это было сделано удивительно ловко и быстро.

    - Тут метрах в двадцати, прямо перед нами небольшая яма, можно забрасывать, сказал он.

    - А как вы определяете место? Ведь никаких ориентиров не видно, спросил я, разматывая удочку.

    - Да мы тут всё знаем. Вот видите небольшое уширение впереди, справа, а слева вроде как мысок, это и есть начало ямы.

    - Понятно, сказал я, хотя, если говорить честно, ничего не понял, ибо подобных  мысков и уширений кругом было сколько угодно. 

    Устроившись на средней банке будары, я забросил три удочки так, что насадка средней легла посредине протоки, остальные оказались ближе к камышам слева и справа, соответственно. Не прошло и минуты как кончик левой удочки начал подрагивать, затем дрогнул конец правого удилища. Видно теребит мелочёвка, подумал я и тут  среднее удилище резко согнулось и едва не полетело за борт. Подсечка не потребовалась. После не долгово вываживания наш первенец практически сам влетел в ловко подставленный Булатом подсачек. Не гигант, но на вид не менее 5 кг. Не успел я, поправив лягушку, сделать заброс, как снова мелко завибрировал кончик левого удилища и тут же резко согнулся. Подсечка и руки ощутили приятную тяжесть клюнувшей рыбы. Неожиданно леска провисла, удилище распрямилось, создалось впечатление, что рыба сошла. Зная подобные сомовьи штучки, я ускорил вращение катушки  и вскоре ощутил мощный рывок бросившегося в сторону лодки сома.  Рывки следовали один за другим, порой

    resize_e6e97c28e3415a016598a68e671a78c5.

     

     

    После нешуточной борьбы

    resize_e4f40389f9e473e425708fc775cfd99d.

    К счастью, он не получил серьёзных повреждений, ибо засёкся за нижнюю губу и был тут же отправлен за родителями. Ещё дважды нам попадались и отправлялись за родителями малолетки, а потом наступила длительная пауза. Сидим, сидим, никаких шевелений. Лишь в половине одиннадцатого был пойман последний в этот день зачётный сомик. Дождавшись его, сворачиваю удочки и возвращаемся на базу.  Пока я высиживал сомиков, Булат забросил к камышам две закидушки со жмыхом и поймал трёх небольших сазанчиков. Всю пойманную рыбу, как всегда, отправляем на кухню. Много потерял тот, кто не пробовал жареные сомовьи хвостики или плёсы как их называют местные.

     

    resize_27c4ae03aa5f9cba59cf1fb648f218aa.

    По-настоящему крупных сомов мне поймать не удалось, самый большой потянул на десять двести, такова видно моя фортуна. Во время последнего выезда, правда, клюнул настоящий великан, удалось даже минут десять поводить его. К моему глубокому сожалению, а его счастью, очередной мощный рывок привёл к обрыву поводка, который согласно тесту должен был держать восемнадцать килограмм. Впрочем, ни тормоз катушки, ни плетёнка не виноваты, это сом своими мелкими зубами, щёткой, перетер нити поводка. Виноват я сам, а теперь ругаю себя, что, понадеявшись на русский авось, поленился поставить вольфрамовый поводок. Саша в отличие от Булата, чтобы не скучать в ожидании сомовьих поклёвок, ловил на блесну судачков. Ловил у кромки камыша, без удилища, держа в руке леску и периодически подёргивая её.

    resize_d01a1daa7b3d79301025c9f75818d373.

     

    resize_54a44b0666779566f7b56f9b71fb0fb8.

     

     

    resize_e70927b4d15509749af1bb7fc74652ba.

    resize_1063995a2d11309aaef14192f6021102.

    resize_23015dc817dabb6c70ba6d614b15806b.

    resize_9ea70a247f4ba88f8c08ea18cdfc0cde.

    То слева, то справа видели мы  целые поля лотосов. Эти, удивительной красоты  цветы издают нежнейший аромат. Постепенно вода становилась всё прозрачней и вот, наконец, под нами настоящая чёрная вода. До неё на бударе мы шли ровно час. 

    resize_b5dc5d2343b611eda373e519dc4f646f.

    С помощью супруги одеваю гидрокостюм и опускаюсь в воду, заряжаю ружьё и ….В районе колок прозрачность вопреки прогнозам оказалась вполне приличной, около трёх метров, на чистине поменьше, около  двух. Глубина всюду от метра до полутора. Кругом море травы, достигающей местами самой поверхности. Стаи крупной краснопёрки играют на полянках, среди травы снуют караси, на песчаных лужайках встречаются неплохие окуни. Сазанов не видно. Выбираю метод медленного прочёсывания акватории, это может и не так результативно, но зато не скучно. Первый сазан поплатился жизнью за своё любопытство. Выйдя из за куста травы на песчаную полянку, он слишком долго разглядывал незнакомую рыбину, у которой в руках оказалось ружьё.

    resize_9e5c28af8f383a01892f2c8a032588b4.

    Второго и последнего удалось подстрелить, стреляя по силуэту вдогонку примерно с двух метров. При взвешивании первый потянул на три с половиной, второй на пять четыреста. Вполне зачётные экземпляры.  Обилие травы позволяет рыбе оставаться незамеченной подвохом, а средняя линия, воспринимая малейшие вибрации воды, выдаёт его появление задолго до того как он становится для неё опасным.  Много раз приходилось натыкаться на огромные облака мути, поднятые только что стоявшей тут рыбой. В такой ситуации только терпение и упорство гарантируют результат. Температура воды около двадцати пяти градусов. В пятёрке очень жарко, то и дело встаю на дно, оттягиваю ворот, что бы пустить внутрь свежую струю и хоть немного охладиться.  Плыву дальше, стараюсь двигаться на задержке дыхания, едва шевеля ластами и не делать резких движений. Выхожу на поляну, окружённую стеной водорослей и вижу сразу пяток крупных карасей, что то склёвывающих с травинок. Стреляю не в ближайшего, а в самого большого. По уходящему в сторону линю понимаю, попал. Крупный, более килограмма карась, поднимая облака мути, бьётся в траве и никак не даётся в руки. Сажаю его на кукан рядом с сазанами и плыву дальше. На удивление через несколько минут нахожу похожую компанию, но допускаю промах. Промахов, к сожалению, было слишком много. Особенно досадно, когда мажешь из, казалось бы, наивыгаднейшего положения по крупной рыбе.  Совершенно очевидно, тут сказываются  детренированность, связанная и с длительным перерывом в охоте, и с отсутствием зимних тренировок в бассейне. Плыву вдоль кромки очередной колки, заглядываю во все ниши. Взявшись за камышину делаю залёжку на поверхности возле песчаной полянки.  При моём появлении целая стая крупных окуней юркнула в камыши. Через короткое время они начали выходить из укрытия. Первыми появились относительно мелкие разведчики, потом окуневичи покрупней, а затем вышел хозяин, под килограмм весом. Выстрел и вакантное место предводителя освободилось. Через несколько минут всё повторяется, только заместитель предводителя чуть меньше калибром. Двигаюсь дальше и, увидев стайку мелочи, ищу глазами щуку, которая, несомненно, где то рядом пасёт эту компанию. Вот и она, но мелковата для выстрела. Метрах в тридцати попадается пастух килограмма на два. Не раздумывая стреляю примерно с полутора метров. Есть, гарпун,  угадив в загривок, вместе с замершей щукой

    resize_b63e793ee9f45a02f30b61be934c14d0.

     

    Плаваю уже почти четыре часа и хотя по настоящему  крупных экземпляров нет, потяжелевший кукан создаёт серьёзные неудобства, особенно когда приходится пробираться сквозь водоросли. Подзываю лодку и передаю кукан егерю. Поддавшись на уговоры жены, изнывающей в лодке от жары, на этом охоту заканчиваю. Стоя возле борта снимаю свою дайверскую пятёрку и прополаскивая её с удовольствием охлаждаюсь. На обратном пути жена фотографирует, а я погружаюсь в приятную дрёму. Дорога домой оказалась несравненно короче.

    resize_97d00d41ba9e3d5f3b764530cd4111cd.

    Закрыл глаза, снова передо мной подводные пейзажи, снуют рыбки, открываю, вот он, «Глаголь», подъезжаем к родному причалу. В последующие дни я чередовал подводную охоту с традиционной рыбалкой и неизменно получал при этом огромное удовольствие. К сожалению, всё хорошее быстро кончается, незаметно подошло к концу и наше пребывание на полюбившемся нам «Глаголе». Расставаясь с приветливым персоналом базы, мы искренне пожелали каждому здоровья и процветания. До свидания «ГЛАГОЛЬ», даст бог, мы ещё не раз к тебе вернёмся.

    В. Панаев, 2013.

     
  7. Транспорт

    • 1
      запись
    • 3
      комментария
    • 13499
      просмотров

    Последние записи

    Гость
    Последняя запись

    От Гость,

    Наверное, никто не будет оспаривать то, что для рыболова любителя лодка если не обязательный, то уж, во всяком случае,  крайне желательный элемент снаряжения. Подавляющее большинство моторизованных рыболовов,  купив транспортное средство, затем обзаводилось и лодкой. Я тут не был исключением и, как только удалось приобрести автомобиль (с большим трудом достал ЗАЗ 965, (то бишь «горбатый» запорожец),  сразу же  купил надувную лодку ЛГН-2. Первая же попытка сесть  в неё,  встав на  штатное днище, чуть не кончилась овер килем.  Немного поразмыслив,  оборудовал её жёстким днищем, складывающимся в транспортном положении в виде книжки. Лодка стала гораздо удобней и безопасней, существенно возросла продольная жёсткость, появилась возможность забрасывать спиннинг стоя. К сожалению, при интенсивной эксплуатации и даже самом бережном отношении  резиновая надувная лодка  весьма не долговечна. 

    resize_f9065f1a5413878f09a50091c31e05a4.

    С тех пор утекло много воды и времени, разумеется, пришлось сменит много  резиновых лодок самых разных моделей, но неизменно каждая из них оборудовалась жёстким разборным полом . Своим опытом я делился сначала только с друзьями, а потом и с широким  кругом рыболовов, опубликовав в Российской охотничьей  газете статью «Как превратить надувную лодку из орудия пыток в удобный корабль».  На прудах, небольших речках, озёрах  и даже в прибрежной зоне больших водоёмов при штиле или слабом ветерке этот корабль успешно решал возложенные на него задачи. Честно сказать, на вёслах даже при тихой погоде и отсутствии сильного течения надувная лодка не сильный ходок и потому расстояния, на которые я смог удаляться от лагеря, были не велики. Как только на большом водоёме поднимался  ветер, а за ним и волна, рыбалка на лодке отменялась, а если стихия заставала на воде, приходилось спешить к спасительной суше.  Со временем в продаже начали появляться лёгонькие металлические лодки, предназначенные для перевозки на крыше легкового автомобиля (картоп-лодки), преимущество которых над надувными резинками не вызывало сомнений.  При первой же возможности приобрёл замечательное произведение Тюменского судостроительного завода, лодку «ЁРШ» и стал обладателем сразу двух лодок, надувной «НЫРОК-21» и металлической (алюминиево-магниевый сплав)  «ЁРШ». Поначалу возил лодку на крыше автомобиля, используя доработанный багажник. Вскоре, однако, выяснилось, что для машины это небезопасно.

    resize_efe640f3d8dbeadd2f11e17c827c7e9c.

    Доработал прицеп «СКИФ» и стол возить лодку на нём. С Ершом мы с женой неоднократно выезжали на крупные водоёмы, в том числе, на нижнюю  Волгу. Эта малюсенькая лодка (длина 263см., ширина на миделе126 см.) идеальна для рыбалки в одиночку и отлично идёт на вёслах, что позволяло мне выбирать места для рыбалки в радиусе трёх километров от базового лагеря. Время шло и в продаже наряду с резиновыми появились надувные лодки из ПВХ. Это лодки уже совсем иного, гораздо более высокого класса.  Прочные, стойкие к ГСМ и ультрафиолетовому излучению и потому не боящиеся солнца, рассчитанные на установку мощных моторов, эти лодки быстро  завоевали множество поклонников. Ещё бы, сохраняя наиболее важные свойства своих предшественниц, такие как лёгкость сборки, разборки, не требуя много места при хранении, они обеспечивали высокую надёжность, безопасность  и мореходность. Не удивительно, что многие мои друзья обзавелись ими.

    Как известно, всё познаётся в сравнении.

    resize_b2326643ce9f403124101363265d40d9.

    Пока я на вёслах добирался до места ловли, они уже имели в садках не по одной рыбке, да честно сказать, и возраст стал сказываться, идти на вёслах на значительные расстояния стало тяжеловато. Купил подвесной мотор «Тролл» мощностью 2,5 л.с., под которым мой «ЁРШ» уверенно идёт со скоростью 8-10 км/час и почувствовал существенное облегчение. Разумеется, угнаться за лодкой ПВХ с двигателем 8-10, а то и 15 сил мне по-прежнему не под силу, да и задачи такой я перед собой никогда не ставил.

    К сожалению, нет плюсов без минусов.  Серьёзным минусом ЕРША, мешающим рыбалке, является весьма гулкий дребезг корпуса даже на небольшой волне. В этом плане надувные лодки всегда имели преимущество. Этот минусок характерен для всех металлических лодок, деваться некуда, вынужден был смириться. Покупка мотора, прибавив мобильности, добавила сразу два неудобства. Первое состоит в том, что обводы Ерша, спроектированного для движения на вёслах, таковы, что днище имеет серьёзный подъём в кормовой части. Это приводит к тому, что при ходе даже под 2,5 сильным мотором лодка сильно задирает нос. Этому способствуют два обстоятельства: смещение водителя с миделя к корме и, главное,  гидродинамические силы. На тихой воде с этим  ещё можно мириться, а вот при ходе против  волны, особенно короткой и крутой это становится опасным, особенно если учесть малую длину лодки. Второе неудобство для меня не менее существенно. Дело в том, что рыбу я всегда ловил сидя в удобном раскладном кресле с подлокотниками. С появлением на Ерше мотора, для кресла в довольно коротком кокпите не хватает места. Пробовал и так и этак, не получилось, А отказываться от привычных удобств, ох как не хочется. Короче говоря, я стал всё внимательнее присматриваться к современным лодкам  ПВХ, а зимой этого года окончательно решил, покупаю! К счастью, жена,  всегда поддерживающая меня в разного рода начинаниях, и тут не возражала.

    Нынче количество предлагаемых моделей лодок ПВХ просто огромно и потому выбор весьма не прост, особенно при ограниченности средств.  Прежде всего, следует определиться с основным назначением выбираемой лодки.  Для меня это исключительно рыбалка.  Разумеется, всегда хочется иметь лодку побольше, с просторным кокпитом. К сожалению, тут возникают проблемы с весом.  При прочих равных условиях, Лодки ПВХ существенно тяжелее резиновых, а с ростом размеров вес их растёт  и становится даже больше, чем у металлических. Управляться одному с тяжёлой лодкой при перевозке, сборке, спуске на воду и извлечении из воды очень непросто. Иногда, конечно, можно попросить у кого то помощи, но делая покупку, следует рассчитывать исключительно на свои силы. Мне хотелось за минимальные деньги иметь лодку длиной 310 -330 см., с диаметром баллона 40- 45 см. жёстким разборным полом  и весом до 40 кг. Отлично понимая, что это весьма сложные  требования, я углубился в интернет в попытке среди предлагаемых вариантов найти желаемый, благо  на дворе долгая зима и спешить некуда. К февралю составил большую таблицу с характеристиками и ценами лодок, хотя бы частично удовлетворяющим моим требованиям. Известно, что описания и картинки не дают полного представления о модели, потому решил окончательный выбор сделать на выставке «Охота и рыбалка на Руси», которая ежегодно проводится на ВДНХ. Эта выставка хороша не только тем, что одновременно можно живьём видеть множество моделей и визуально сравнить их,  но и тем, что цены на 10, а то и 20 процентов ниже магазинных.  Сделав за три дня несколько кругов по павильонам, где было представлено несметное количество лодок на любой вкус и кошелёк, мы с женой несколько раз задерживались возле одной, которая в наибольшей степени соответствовала моим запросам и, что особенно важно, имела приемлемую цену.  На третий день, утвердившись в выборе, разговорились с Сергеем Владимировичем Трофимовым, представлявшим своё детище, лодку «Кобра – 325К» и купили её. Какие же качества этой лодки определили мой выбор. Прежде  всего, это длина 325 см., диаметр баллона 42 см.  и вес комплекта 37 кг. Кроме того, я обратил внимание на жёсткий пол с противоскользящим покрытием и  мощный транец, толщиной 24 мм. Важным для меня обстоятельством было жёсткое крепление банок на баллонах. Модное ныне  их крепление с помощью ликтросса - ликпаза, позволяющее произвольно передвигать банки вдоль корпуса лодки, всем хорошо, но, на мой взгляд, не обеспечивает надёжной фиксации  на борту кресла, которое для меня совершенно необходимый атрибут. По моей просьбе Сергей Владимирович в виде бонуса, дал мне четыре бобышки, на которых к баллонам крепится леер, ручку и пузырёк с клеем для их приклеивания. О назначении этих приобретений чуть ниже.  Тридцать семь килограммов вес  хоть, вроде бы и небольшой, но, учитывая габариты лодки, делает практически невозможным её перемещение на суше в одиночку.  Учитывая это обстоятельство,  второй покупкой в этот день стали специальные колёса с кронштейном, обеспечивающим удобный перевод их из рабочего положения в транспортное, рис. 6. В огромном выставочном зале, лодка моя по размерам не выделялась среди массы представленных образцов, но когда я собрал и надул её дома, она, заполнив почти всю гостиную,  показалась просто гигантской.

    resize_bb3b261e7b87580e8042206b41bd14e3.

    resize_ed94bdc2d3fcb40af49467e95de92eae.

    При сборке я поначалу никак не мог уложить пол, казалось он длиннее предназначенного для него места. Помучавшись, некоторое время, я чуть было не подрезал носовую секцию. К счастью, прочтя правила сборки, я всё легко собрал и благодарил господа, что не взялся по серости своей за ножовку.  Первым делом, следуя инструкции, я установил на транец кронштейны для крепления колёс, а затем и сами колёса.  Когда, взявшись за носовую ручку, я попробовал переместить лодку, оказалось, что она практически невесома и уж, во всяком случае, гораздо легче моего Ерша, который я оборудовал самодельными  кронштейнами и небольшими колёсами. Дело в том, что в рабочем положении у новой лодки колёса  находятся под днищем, впереди транца и всё, что находится позади него, является противовесом.

    resize_4e09f97ff67584de82de01afad828ee0.

    Таким образом,  проблема перемещения в одиночку лодки по суше к воде и обратно была решена. Забегая вперёд, скажу, что при натурных испытаниях на берегу Бузана, действительность превзошла ожидания. Дело в том, что мотор, установленный на транце, являясь  противовесом, дополнительно снижает нагрузку на руку.

    resize_ccd0f2320c10c2dfa6d834e516484840.

    resize_60408cc8e9a36b88f810b3071aec54fe.

    Вторая доработка лодки состояла в том, что я приклеил к наружной стороне каждого баллона леерные бобышки, разместив их примерно в 30см. от  транца таким образом, что ось отверстия в каждой из них  была перпендикулярна оси баллона.  Бобышки приклеил для того, чтобы в их отверстия вставлять рогульки для фиксации удочек.

    resize_a0fdefd78d483fb720d2b197fe0e2db8.

    resize_7bb34212c1502c3002e139adb06b1e7d.

    Третья, самая простая,  доработка заключалась в том, что я просверлил в одной из банок отверстия для фиксации кресла.  После сверления защитил  фанеру водостойким лаком. Завершив доработки, упаковал лодку в ожидании запланированной на апрель поездки в Астраханские края, на любимый Бузан. Одна мысль не переставала беспокоить.  Дело в том, что «нога» моего подвесного мотора, рассчитана на транец высотой 371 мм., а транец лодки оказался выше, целых 390 мм. Я было хотел сделать вырез в нём, но Сергей Владимирович отсоветовал. Всё будет нормально, сперва попробуйте, потом решите.  И хотя расчёты показывали, что даже с одним водителем загрузка лодки обеспечит достаточное заглубление винта, сомнения оставались. Практика подтвердила правоту Сергея Владимировича, все мои сомнения оказались напрасными.  Проведённые в непростых условиях половодья испытания новой лодки подтвердили правильность моего выбора.  Сборка  оказалась очень лёгкой и удобной.  Особо хочу отметить очень удачную конструкцию пола. В отличие от большинства других лодок у моей «Кобры» по каждому борту не один стрингер, а два, охватывающие практически весь прямолинейный участок пола, что хорошо видно на рис. 4. Как результат  пол, а вместе с ним и лодка обладают редкостной продольной жёсткостью. Сами стрингеры сделаны так, что при сборке пола легко ставятся в любой ориентации.  Длинный, просторный кокпит с прочным полом, позволяет свободно стоять в нём, а зафиксированное о переднюю банку с помощью капронового шнура кресло стоит как вкопанное.

    resize_c7b7a496ff85b57b9b108b015671bac9.

    Лодку с удочками, всем рыболовным снаряжением и установленным на транец мотором возить по берегу  на широких колёсах, одно удовольствие.

    resize_b13a567c97aa7b447122b3f1359e0657.

    Спустив  лодку на воду, легко перевести колёса из рабочего положения в походное. При этом они почти примыкают к транцу и немого возвышаются над ним. Это не только ничему не мешает, но оказалось  удобным  для фиксации удочек, кладущихся на транец.  Дополнительные бобышки прекрасно справились со своей ролью, удочки надёжно фиксировались в них, а не скользили вдоль борта, как на иных лодках. Ходовые испытания прошли без всяких неожиданностей.

    resize_91e50460242125ed50970b7bddf4ad5f.

    Лодка идёт ровно, нос практически не задирает, на курсе удивительно устойчива, легко и плавно всходит на волну. Если весной серьёзных волн для испытаний не было, то осенью, Бузан показал всё свою мощь, пришлось походить  на моей Кобре и на попутных, и на встречных волнах. Несколько раз пришлось, возвращаясь с рыбалки, идти против  ветра и волны высотой более полуметра. Первый раз, честно сказать, немного нервничал, а потом, убедившись, что  для моего корабля это семечки, только радовался его мореходности. К чести лодки, даже в такой сложной ситуации забрызгивания кокпита не было. Вот, что значит большой диаметр баллона и брызгоотбойник.  Не раз в таком плаваньи я вспоминал добрым словом Сергея Владимировича, изготовившего  эту лодку.

    resize_4e953d549b519a1efb19e7be3a78eebb.

    Как и ожидалось 2,5 л.с. для выхода лодки на глиссирование даже с одним человеком на борту явно мало,  она идёт в переходном режиме со скоростью порядка 12 км. в час., может быть даже немного быстрее.  Замер скорости не проводился, но учитывая, что скорость течения реки была около  8 – 10 км/час, а лодка при этом уверенно шла против течения  со скоростью относительно береговых ориентиров  не менее 4 - 5 км/час, такое допущение вполне приемлемо. Когда направлял лодку по течению вдоль берега,  то казалось, что она просто летит.

    resize_02990cddec72a1aabe879019db65c138.

    Самое интересное,  оказалось, что на средних и даже малых оборотах скорость снижается незначительно. Отсюда я сделал вывод, что слушать грохот мотора, работающего на максимальном режиме нет никакой нужды, при этом скорости перемещения по воде для рыболовных целей более чем достаточно. Более того, на средних оборотах  против крутой волны  лодка идёт  более плавно, а большой диаметр баллона и брызгоотбойник исключают забрызгивание кокпита. Этому в немалой степени способствуют  тримаранные  обводы корпуса и то, что в кормовой части днище несколько приподнято относительно баллонов. Поначалу я не обратил на это внимания, но случай помог оценить такое конструкторское решение.  Однажды во время рыбалки поднялся  ветер и разогнал хорошую волну, на которой вскоре появились белые барашки. Волны шли прямо на транец  стоящей на якоре лодки, но, к моему удивлению, об него не ударялись. Лодка плавно поднималась на гребень волны, а затем так же плавно опускалась. Ни брызг, ни ожидаемого шума от ударов волн!!! Неподалёку стояли знакомые в трёхметровой лодке с диаметром баллона 360 мм., без брызгоотбойника. Как потом выяснилось, они промокли до нитки и, в конце концов,  были вынуждены, проклиная поднявшуюся волну, съехать на берег. Удивлению их не было предела, когда они, выливая воду из своей лодки, увидели совершенно сухой кокпит моей КОБРЫ.

    Вывод очевиден, лодка КОБРА – 325К для рыбалки именно то, что надо, всячески всем рекомендую.

    В.Панаев.

  8. Vit2009
    Последняя запись

    От Vit2009,

    С 1 декабря 2013г. по 1 марта 2014г. зимняя АКЦИЯ - стандартная комплектация любого ружья Таймень + резьбовой гарпун + наконечник "Таймень" дешевле на 7,5% 

  9. admin
    Последняя запись

    От admin Проверенный,

    Голубое озеро в Сергиевском районе  является одним из самых загадочных мест Самарской области и с древности и объявлено памятником природы регионального значения. Оно представляет собой карстовую воронку, заполненную водой, поступающей из мощных глубинных сероводородных источников.

    В озере поддерживается постоянная температура в 7 °С. В середине XIX века диаметр озера составлял 16 метров, глубина – около 40 метров. Во времена СССР тут размещалась насосная нефтяная станция. После закрытия проекта, чтобы не вывозить все за собой, бульдозером столкнули в озеро… До февраля 2013 глубина озера достигала 17.5 метра. Наличие сернистых соединений обуславливает интенсивную изумрудно-голубую окраску воды. В озере нет жизни, поэтому вода отличается удивительной прозрачностью. Встречается редкое растение – водяная сосенка. По дну и склонам воронки произрастают харовые водоросли, образующие подводные луга.

    Посещение этой природной аномалии может стать отличным маршрутом выходного дня. Так и случилось в одно прекрасное апрельское  воскресенье. Команда подводных охотников Самарской области, поддерживающих сообщество http://pronyr.ru - Дмитрий Голубев (Ластоногий), Владимир Судьба, Елена Воронова и  Игорь Клещёв - 21 апреля 2013 приехали на Голубое озеро только за сенсацией! Съемочная группа телеканала «Россия 1» сняла все произошедшее над и под водой.


    А сенсация заключается в следующем. Озеро, имевшее ранее глубину 17.5 м, в марте месяце обвалилось. Первые мартовские нырки показывали новые глубины - до 25.6 метра. Дальше возможности опуститься не было из-за того, что вода из кристально прозрачной стала мутной и дальнейшее погружение было бы просто опасным для жизни. И вот за месяц вода отстоялась. Апрельская экспедиция к озеру убедилась, что глубина озера увеличилась до 30 метров по вертикали. И это еще не все! Дмитрий (Ластоногий) сумел заснять на 29 метрах в обломках бревен и строительного мусора, оставшегося от нефтяников, вход в грот или проход. Проход  высотой с метр уходит дальше – пока в неизвестность. Вода прозрачная, чистая.


    Вот, как описывает свое погружение сам Дмитрий Голубев:

    В феврале этого года случилось нечто.... Вода в озере помутнела. Ныряя на задержке, я доходил до 20м. Ничего, правда, не было видно, но было понятно что озеро стало глубже, чем в прошлом году (17.5м), ведь даже на 20-ке я не достиг дна. Зная что в округе множество небольших пещер карстового происхождения, предположил что произошел обвал, вследствие которого и поднялась муть. Нужно было обождать, когда видимость восстановится.

    Шло время, и вот на днях звонок от Владимира Судьбы: Димон, нужно помочь снять репортаж про Голубое озеро, подводные съемки, интервью и всё такое... Соглашаюсь, так как и самому ужасно любопытно, какая там глубина теперь. Прихватил Игоря Клещёва.

    Приехали, познакомились, разнырялись, работаем. Решаю, пока озеро не взбаламутили, поснимать. Погружаюсь с аппаратом. 10, 15, 20, 25м, далее дно озера переходит а трехметровую воронку-колодец, 2.5 на 2м. Вход в него частично перекрыт завалом из бревен. Обхожу его и подаю на 28.8 м, всё, дошел, дно. Муть разверзлась, я попадаю в чистейшую воду, и тут обнаруживаю горизонтальную полость шириной 4м, высотой 1.5м и длиной около 6м. В дальнем правом углу имеется проход 1-1.2м, уходящий вправо постепенно углубляясь.  не имея ходового конца  решил не рисковать и возвращаюсь  на поверхность. На поверхности вопли, крики, матюки и офигевше-радостные лица друзей. Далее короткое интервью, перекус и едем по домам. Да, Судьба, день был прожит не зря 


  10. После того, как мною обнаружено, что в проекте новой редакции Правил рыболовства по Азово-Черноморскому бассейну имеется запрет подводной охоты в темной время суток и полный запрет с 15.11 по 31.3, я явился во ВНИРО. Результат такой:

    «Мы ничего сделать не можем, против региональной науки не пойдем, проект правил примем как есть!»

    Понял, что следующая инстанция – глава Росрыболовства (в настоящее время зам Крайнего Соколов Василий Игоревич).
    В пятницу (5.4.13) он меня принял. Сначала обрисовал картину с «подсветкой» и нашей с ней продолжительной борьбе. Теперь новое масштабное, но совершенно не обоснованное наступление на подвохов. Обещал множественные возмущенные письма и обращения, недовольство в Интернет и СМИ. Объяснил откуда такая неприязнь к нам: мы – кость в горле для браконьеров, те в смычке с Рыбинспекцией, Рыбинспекция давит на местное теруправление Росрыболовства и их институт. Соколов пытался возразить по поводу смычки браконьеров и Рыбинспекции, но я привел ему факт добровольного увольнения сразу 22 инспекторов с Волги (после введения видеорегистраторов и датчиков GPS на их плавсредства и машины). Как говорится – комментарии излишни...

    В качестве временной меры предложил ему дать указание, чтобы при нынешней переработке Правил, любительскую часть оставили в прежней редакции без изменений, ибо вот-вот появится новый Закон о любительской рыбалке и правила будут разрабатываться вновь. Идея ему сначала понравилась, но потом, видимо поняв, что это он лично должен давать такое указание, ушел в сторону. Предложил провести специальный Ученый совет с приглашением всех заинтересованных сторон. Что ж, это тоже не плохо.

    Я наехал на их «науку». Привел пример, когда обоснованием для увеличения срока промлова в Астрахани на 5 дней (с 20 мая по 25 мая) они написали (дословно):

    «Необходимость увеличения добычи сома и сазана...».

    Хорошенькое научное обоснование! Наезжаю дальше:

    – «А как научно можно объяснить промышленный лов рыбы в нерестовый период?»

    Соколов про это ничего не знал!! По селектору запрашивает начальника управления науки:

    – «Это правда..?»

    Тот отвечает:

    – «Да..»
    – «Почему?»
    – «Там всегда ловили в путину, это традиционно...»
    – «А почему тогда в это время запрещают любителям?»

    А в ответ – тишина..
    Вот такой интересный диалог.
    Еще в процессе нашей беседы Соколов запрашивал начальника отдела Рыбоохраны.

    – «Почему хотите запретить на все холодное время подводную охоту?»

    Ответ:

    – «Они лезут в зимовальные ямы и выбивают производителей»

    . Я тут же комментирую:

    – «В зимовальные ямы лезут не подвохи, а браконьеры. У вас есть Рыбинспекция, берите их и штрафуйте нещадно, чтобы не роняли тень на нас-любителей.»

    По поводу «производителей»:

    – «Ваша наука сочла правильным в Правилах ограничить вылов не крупной рыбы, а как раз мелкой. Какие могут быть в этом плане претензии?»


    Общение с Соколовым (я его и раньше знал по работе над проектом Закона о любительском рыболовстве) мне понравилось. Слушает, вроде понимает.
    Буду держать руку на пульсе теперь в Управлении науки и образования, которое должно организовать и провести вышеназванный Ученый совет. Но при этом начатая письменная бомбардировка со стороны подводных федераций, клубов и отдельных охотников Минсельхоза и Росрыболовства по поводу предложений Азчеррыбвода ослабевать не должна.

    Виноградов В.И. 

  11. Владимир
    Последняя запись

    От Владимир,

    «Давайте не будем философствовать, а просто посчитаем…»
    Рене Декарт

    1. Вступление.

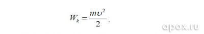
    Целью данной работы является получение и анализ зависимостей скоростей, координат и кинетической энергии движения гарпуна выпущенного горизонтально в водной среде, а также изучение влияния изменения параметров гарпуна и линя на движение гарпуна. Сделанные выкладки предполагают быть доступными для большинства подводных охотников, которые смогут также воспользоваться и приложенным файлом (Exel) для проведения собственных расчетов.

    Без учета сопротивления среды задача о теле, брошенном горизонтально или под углом к горизонту, проиллюстрирована во многих, даже школьных учебниках. Учет сопротивления воздуха при расчетах траектории полета снарядов хорошо исследован в баллистике [1]. Формулы, выражающие сопротивление воздушной и водной сред, хотя и похожи, но подходы воздушной баллистики для водной среды не приемлемы.

    Гидродинамика – сложная и самодостаточная наука, которая дает возможность построить искомую модель. В литературе [2-4] приведены методы расчета сил, которые возникают при движении в жидкой среде, но исследование кинематических величин и построение траектории движения тел не проведено. Разумеется, что при создании огнестрельного оружия для подводных пловцов подобные расчеты проводились, но они не опубликованы в открытой печати. В [3] приведены методы расчета параметров подводного движения баллистических ракет, но из-за сложности и громоздкости их применение для нашей задачи затруднительно. Несколько упрошенное рассмотрение зависимостей скорости и координаты от времени движения приведено в [5], но полученные там зависимости не учитывают форму тела. Учитывая изложенное, перед работой не ставится задача выяснения абсолютной истины в особенностях подводного движения тел – мы попытаемся как можно полнее проанализировать движение гарпуна подводного ружья, пользуясь при этом математическим аппаратом, который будет понятен широкому кругу читателей. 

    2. Объект исследования и его взаимодействие со средой.  

    В качестве базового объекта исследования выберем гарпун длиною l= 76 см, диаметром d= 8 мм, передняя его часть имеет форму конуса. Также нам понадобятся плотность материала, из которого он изготовлен – pм= 7800 кг/м3 (сталь) и 4540 кг/м3 (титан); плотность воды – p =1000 кг/м3;
    вязкость воды n = 10-3 Па·с уже будет учена в формуле силы сопротивления. К гарпуну привязан линь диаметром 2 мм. 

    Заметим, что внутренняя баллистика выстрела, то есть особенности разгона и движение гарпуна до его выхода из ружья (отделения от ружья) в работе будут исследованы лишь частично.

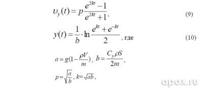
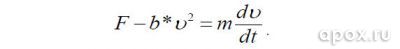
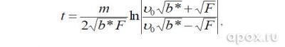
    Движение гарпуна можно рассматривать как два независимых: горизонтальное и вертикальное. Реальное движение будет суперпозицией двух указанных. 

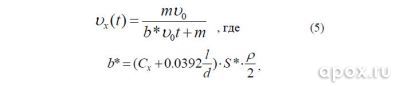
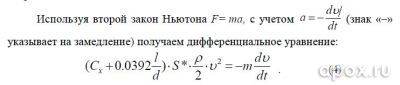
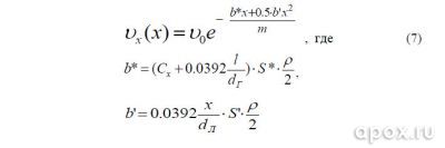
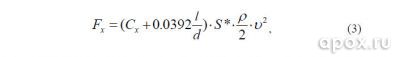
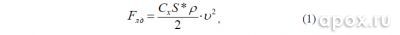
    В горизонтальном направлении на гарпун действует сила гидродинамического сопротивления, которая состоит из трех составляющих: силы лобового Fл и донного Fд сопротивлений, силы трения боковой поверхности Fпов (см. рис. 1). Первые две принято объединять в одну: 

    где S* – площадь наибольшего поперечного сечения гарпуна, перпендикулярного к направлению движения; p – плотность води; v –скорость движения; Сх – коэффициент формы. С использованием формулы (1) можно с успехом рассчитывать силу сопротивления для объектов элементарной формы: шара, конуса, цилиндра. При этом коэффициент формы Сх равен: для шара – 0,47; для конуса 0,50; длинного цилиндра при продольном обтекании – 0,82, а при поперечном – 1,2. 

    Сила трения боковой поверхности так же, как и первая, пропорциональна квадрату скорости: 

    где S – площадь боковой поверхности, k – коэффициент пропорциональности. Эта составляющая силы, согласно критерию Рейнольдса станет пропорциональна первой степени скорости лишь при
    движении со скоростью меньшей 1 см/с, обеспечив при этом почти мгновенную остановку.

    Не скроем, мы проводили расчеты и в предположении, что сила поверхностного трения пропорциональна первой степени скорости на всем пути движения гарпуна, но полученные результаты не подтверждаются экспериментально. Кроме того, это противоречит критерию Рейнольдса для объектов таких размеров и используемых скоростей.

    При вертикальном движении тела на него действует система сил (см. рис. 2). 

    Поскольку плотность гарпуна больше плотности воды, то сила тяжести превышает силу Архимеда – начинается движение из состояния покоя ускорено вниз. При увеличении скорости увеличивается и сила сопротивления среды. Но наступает тот момент, когда сила тяжести уравновешивается суммой сил Архимеда и сопротивления среды, тогда гарпун начинает двигаться с постоянной скоростью. 

    3. Математические модели. 

    3.1. Горизонтальное движение гарпуна.

    В работе [4], сила гидродинамического сопротивления представлена как сумма зависимостей (1) и (2) в удобном для расчетов виде: 

    где Сх= 0,5 – коэффициент формы для конуса, l – длина гарпуна, d – диаметр, S* – площадь поперечного сечения, P – плотность воды, v – скорость движения объекта. 

    Его решение и последующая математическая обработка дает нам зависимость горизонтальной скорости от времени:

    Vo – начальная скорость, m – масса гарпуна, Сх= 0,5 – коэффициент формы для конуса, l – длина
    гарпуна, d – диаметр, S* – площадь поперечного сечения, p – плотность воды. 

    Уравнение (4) можно решить и относительно координаты, при этом получим зависимость скорости от координаты. Проинтегрировав выражение (5) получим зависимость координаты от времени. Как хорошо ни решаются эти уравнения, и какие красивые зависимости ни получаются, влияние линя в
    них не учтено. 

    Учет влияния линя на полет гарпуна требует более серьезного подхода, так как к силе сопротивления гарпуна добавится сопротивление линя. Если dЛ – диаметр линя, х – длина размотанной части линя, S’ – площадь поперечного сечения линя, то уравнение (4) примет вид: 

     

    Решение этого уравнения дает нам зависимость горизонтальной скорости от координаты: 

    vo – начальная скорость гарпуна, m – масса гарпуна, Сх= 0,5 – коэффициент формы для конуса, l – длина гарпуна, dГ – диаметр гарпуна, S* – площадь поперечного сечения гарпуна, dЛ – диаметр линя, х – длина размотанной части линя, S’ – площадь поперечного сечения линя, P – плотность воды. 

    Координату от времени выразить в элементарных функциях не удается, но приведенный ниже интеграл вполне можно подсчитать и числовым методом, даже с помощью таблиц Exel (файл прилагается). 

    где xn – граница интегрирования, которая изменяется от нуля до максимальной исследуемой дистанции 

    Формулу (8) можно использовать для расчета времени подлета гарпуна к мишени, добавив время движения гарпуна в стволе, которое рассчитывается в следующих приближениях.

    Пускай со стороны поршня (резиновых тяг) действует постоянная сила, то есть нужно найти среднее арифметическое между начальной и конечной силами. Для пневматического ружья изменение силы находится в пределах 5%, что вполне приемлемо для наших расчетов. Для арбалета такой подход менее приемлем, поскольку сила упругости тяг изменяется не по линейному
    закону. Не будем учитывать силу сопротивления выгоняемой из канала ствола воды и трение поршня, поскольку это приведет к необходимости учета конструктивных особенностей ружья и сильно затруднит расчеты.

    Указанные допущения позволяют с точностью до 15% определить время движения гарпуна в стволе, решая следующее уравнение: 

    Его решение дает формулу: 

    где

    F – средняя сила, приложенная к гарпуну со стороны поршня, vo - скорость гарпуна при вылете из ствола (начальная скорость), m – масса гарпуна, Сх= 0,5 – коэффициент формы для конуса, l - длина гарпуна, dГ – диаметр гарпуна, S* – площадь поперечного сечения гарпуна, P – плотность воды. 

    Кинетическая энергия рассчитывается по формуле

    Учитывая то, что скорость горизонтального движения гарпуна на дистанции уверенного поражения намного превышает вертикальную, в формулу расчета кинетической энергии подставляем значение горизонтальной скорости. 

    3.2. Вертикальное движение гарпуна. 

    В вертикальном направлении на гарпун действует сила тяжести и противоположные к ней: сила Архимеда 

    (P – плотность воды, g= 9,8м/с2 – ускорение свободного падения, V – объѐм тела) и сила сопротивления водной среды 

    (см. рис. 2). Коэффициент формы Сх= 1,2, так как в этом случае обтекание происходит в перпендикулярном к оси цилиндра направлении и S, соответственно, – площадь осевого (продольного) сечения цилиндра, v – скорость движения гарпуна. 

    Равнодействующая этих сил 

    определяет положительное ускорение движения тела.  Воспользовавшись вторам законом Ньютона, запишем дифференциальное уравнение: 

    Его решение и последующая математическая обработка дают нам искомые зависимости вертикальной скорости и координаты от времени. 

    m – масса гарпуна, Сy= 1,2 – коэффициент формы для цилиндра при поперечном
    обтекании, l – длина гарпуна, d – диаметр, S – площадь осевого (продольного) сечения, P – плотность воды, g= 9,8м/с2 – ускорение свободного падения. 

    3.3. Траектория движения гарпуна. 

    Учитывая сложность выражения горизонтальной координаты от времени, следует провести расчет интеграла (8), получив при этом зависимость t(x). Подсчет y(t) провести от полученного времени t(x), а для построения взять колонки x и y(t).

    Как мы видим все расчеты можно произвести не прибегая к помощи языков программирования. 

    4. Анализ полученных результатов. 

    4.1. Общие замечания. 

    И все-таки, какие физические величины следует поставить во главу угла при сравнении различных конструкций гарпунов? Прежде всего, следует постулировать, что все исследуемые гарпуны получают от ружья одинаковую энергию, то есть имеют одинаковую начальную кинетическую энергию.

    Примем ее равной 108 Дж, что будет соответствовать начальной скорости 27 м/с стального гарпуна массой 300 г, длиной 76 см и диаметром 8 мм (базового объекта). Физической величиной, отвечающей за проникновение объекта в вязкую среду (рыбу), является кинетическая энергия. Но энергией в 108 Дж может обладать и лом, движущийся со скоростью десяток сантиметров в секунду. Результат его попадания в рыбу предсказуем – мы даже подранка не сделаем. Поэтому кроме энергии гарпуна следует учесть и скорость, с которой он будет подходить к объекту охоты. При выборе минимальной скорости мы опирались на наши экспериментальные данные полученные при охоте на кефаль. Практика показывает, что наш базовый объект при скорости менее 7 м/с, уже не способен нанести поражающего действия. Примем эту скорость и соответствующую ей кинетическую энергию 7,35 Дж за граничные значения, ниже которых, гарпун уже не способен поразить рыбу. Естественно, для других объектов охоты указанные величины будут другими, но желающие провести соответствующую коррекцию смогут сделать это и сами.

    Так на сколько же велика сила сопротивления водной среды? Из рисунка 3 следует, что максимальная сила составляет 77 Н, или 7,86 кгс. Сила лобового сопротивления гарпуна невелика, и составляет 12% от полной силы сопротивления, действующей на гарпун. Также можем видеть, что линь вносит существенный вклад в силу сопротивления всей системы гарпун-линь. На расстоянии 2 м его доля – 25%. На этом графике и на многих последующих за начало отсчета принято острие гарпуна в момент окончания разгона. Поэтому тем, кто хочет знать полную дистанцию стрельбы, следует добавить к координате расстояние от ручки ружья до кончика гарпуна, вставленного в ружье без проведения зарядки.

    Следующий график (см. рис. 4) говорит нам о том, что процесс полета гарпуна до падения скорости ниже критической величины занимает 110 миллисекунд. Добавив время движения гарпуна в стволе – 36 мс, получим 146 мс – общее время выстрела и полета, или 0,146 с. Недолго длится выстрел из идеального ружья! Почему идеального? Да потому, что мы не учитываем время срабатывания спускового механизма и достижения силой стандартного значения, а также трение поршня о ствол и сопротивление воды при выходе из канала ствола. Но как показывает практика, правильно сконструированное ружье нивелирует эти влияния. 

    Интересна и зависимость вертикальной скорости, представленная на рисунке 5. Сопоставив графики 4 и 5, видим, что до времени 0,11 с – момента падения скорости ниже критической, График траектории полета гарпуна (см. рис. 6) можно использовать при расчете возвышения прицельной планки рожкового прицела и предварительной юстировки коллиматорного или лазерного прицелов.
    Указанное стрелкой направление обеспечивает отклонение гарпуна от заданного менее чем 1,5 см на дистанции до 4-х метров, что говорит, о принципиальной возможности (а не целесообразности) применения любого рода подводных прицелов. вертикальная скорость так и не успевает набрать своего максимального значения 83,5 см/с. 

    График траектории полета гарпуна (см. рис. 6) можно использовать при расчете возвышения прицельной планки рожкового прицела и предварительной юстировки коллиматорного или лазерного прицелов. Указанное стрелкой направление обеспечивает отклонение гарпуна от заданного менее чем 1,5 см на дистанции до 4-х метров, что говорит, о принципиальной возможности (а не целесообразности) применения любого рода подводных прицелов. 

    Раз уж мы имеем дело с оружием то нелишним будет знать, на каком расстоянии оно опасно для человека, плывущего в воде. В литературе [6, 7] указано, что объект выстрела с удельной энергией 50 Дж/см2 выводит из строя человека, даже при попадании в грудную клетку, а при 15 Дж/см2 наносит лишь поверхностные раны. Выбранный нами в качестве стандартного гарпун должен иметь кинетическую энергию в 25,13 и 7,54 Дж соответственно (см. рис. 7). 

    Таким образом, на расстоянии менее 1,7 м (не забываем добавить расстояние от рукояти до кончика гарпуна в момент окончания его разгона) гарпун с начальной кинетической энергией 108 Дж представляет смертельную опасность для человека, а после 2,67 м все еще может нанести
    поверхностные раны.

    Приятной неожиданностью для нас стало то, что расчетная граничная энергия гарпуна, ниже которой наносятся только поверхностные раны, оказалась приблизительно равной уровню, который получен нами экспериментальным путем – 7,54 Дж и 7,33 Дж, соответственно. 

    4.2. Варьирование параметрами гарпуна. 

    4.2.1 Изменение плотности материала гарпуна. 

    Давайте сравним наш стандартный стальной гарпун с возможными альтернативными, тех же размеров и геометрической формы. Первым претендентом на альтернативу является титан. Благодаря невысокой плотности (4540 кг/м3) этот объект будет иметь массу 173 г и, согласно
    закону сохранения энергии, начальную скорость 35,3 м/с. Близкие к нему параметры имеет чудо-продукт «нанотехнологий» – углепластиковый гарпун, которым ведущие фирмы-производители подводного оружия пытались заменить «морально устаревшие» стальные. Для увеличения средней плотности мы предлагаем рассмотреть, как вариант, стальной гарпун со свинцовым сердечником. Если в стандартном гарпуне диаметром 8 мм высверлить отверстие диаметром 6 мм, и залить его свинцом, то плотность такого объекта окажется равной 9750 кг/м3. Его масса вырастет до 372 г, а скорость уменьшится до 24,1 м/с. О механических свойствах такой
    «инновации», а также о возможности замены свинца на слабо обогащенный уран, мы скромно умолчим.

    На рисунке 8 показаны зависимости горизонтальной скорости этих образцов от координаты. 

    Рассмотрим дистанцию до 1 м, понимая при этом, что расстояние до рукоятки ружья составит порядка 2,2 м. На срезе А скорость легкого гарпуна превысит принятую нами за стандарт на 11%, а утяжеленного – на 6% ниже стандартной. Если оценить дистанцию, на которой скорость станет ниже критической (показана уровнем Б), то увидим, что титановый гарпун проигрывает в убойной дистанции на целых 70 см, а со свинцовым сердечником выиграет у стального на 30 см.

    Ситуация с кинетической энергией, показанная на рисунке 9, также говорит не в пользу легких гарпунов – убойная дистанция сокращается на метр и на всем протяжении полета титановый проигрывает стальному. 

    А вот утяжеленный гарпун увеличивает убойную дистанцию на 50 см и показывает лучшие результаты по энергии на всем пути. Это «лучшие» составляет то 0 до 28%.

    Если взять критическую дистанцию стрельбы для стандартного гарпуна (2,7 м), то гарпун со свинцовым сердечником в этой точке будет иметь на 70% большую кинетическую энергию, что является существенной прибавкой, которая позволит пробить более плотную, чем взятую нами за
    основу кефаль, рыбу. 

    Логичным будет предположить то, что гарпуны, имея различные массы, будут различаться по времени движения гарпуна в стволе и в полете. Суммарное время выстрела и полѐта представлено на рисунке 10. 

    Да, действительно, легкий гарпун быстрее достигает цели. В процентном отношении это выглядит впечатляюще – 15% при координате 1 м (для определения истинной дистанции стрельбы, не забываем добавить расстояние от кончика выходящего из ствола гарпуна до рукоятки ружья). Но
    абсолютная величина этого преимущества составляет всего 0,008 с . Если испуганная рыба начинает убегать перпендикулярно направлению выстрела со скоростью 5 м/с, то точка попадание гарпуна будет смещена на 4 см меньше чем у стального гарпуна. Каждому охотнику решать самому – существенно ли это для его условий охоты.

    Графики траектории движения гарпунов, показанные ни рисунке 11, говорят о том, что на расстоянии уверенного поражения самого легкого гарпуна (А2), определяемого уровнем критической скорости, ни один гарпун не имеет преимущества. 

    Да и в дельнейшем движении стального и начиненного свинцом гарпунов прослеживается та же тенденция.

    Подводя итоги исследований связанных с изменением плотности материала гарпунов, можно констатировать, что ни во времени движения, ни в его траектории нет чемпионов. Титановый или углепластиковый гарпуны проигрывают в кинетической энергии, сокращая свою убойную дистанцию на 1 м, а гарпун со свинцовым сердечником увеличивает ее на 30-50 см, показываю лучшие результаты по энергии на всем протяжении полета.

    Таким образом, применение легких материалов при изготовлении гарпуном нецелесообразно, ведь преимущество при этом достигается незначительное, использование возможно только на коротких дистанциях, а себестоимость таких гарпунов – высокая. Мы не открыли Америку установив, что начинив гарпун свинцовым сердечником будут получены лучшие результаты, но прежде чем преступать к изготовления такого снаряда, следует хорошо взвесить соотношение затрат и улучшения боевых качеств полученных гарпунов.

    Изменение силы отдачи, при использовании различных по массе гарпунов, не должно происходить, поскольку согласно третьему закону Ньютона она зависит лишь от величины давления в ресивере или силы натяжения резиновых тяг. 

    4.2.2. Изменение диаметра гарпуна.

    Наиболее часто используемый в пневматических ружьях диаметр гарпуна – 8 мм. Но наряду с этим применяются гарпуны диаметром 7 и 9 мм. В арбалетах стараются применять гарпуны как можно меньшего диаметра, а его увеличение производят только из механических соображений – мощные тяги заставляют длинные гарпуны совершать немалые колебания. И все же мы рассмотрим влияние изменения диаметра гарпуна на его боевые характеристики, особо не вдаваясь в особенности конструкций ружей. 

    Анализ скорости движения (см. рис. 12), показывает преимущество тонкого гарпуна на дистанции до 1,9 м (срез А), но, вместе с тем, он проигрывает в кинетической энергии на всем протяжении полета (см. рис. 13), уменьшая при этом убойную дистанцию на 20 см . Незначительное уменьшение
    времени полета есть (см. рис. 14), но как показано в пункте 4.2.1 большего эффекта это не принесет. А вот толстый гарпун, показывая лучшие результаты по кинетической энергии, увеличивает дистанцию уверенного поражения на 20 см. Если взять критическую дистанцию стрельбы для стандартного гарпуна (2,7 м), то гарпун диаметром 9 мм в этой точке будет
    иметь на 36% большую кинетическую энергию. 

    Исследуя траектории движения, показанные на рисунке 15,констатируем их абсолютную идентичность, ведь отличие составляет считанные миллиметры. 

    Таким образом, применение более толстого гарпуна можно с уверенностью рекомендовать для охоты на рыбу, пробивание которой требует больших затрат энергии, например на сазана. В то же время бесцельно уменьшать диаметр, на наш взгляд не целесообразно. В его уменьшении есть смысл лишь при охоте на мелкую рыбешку на небольшой дистанции, так как тонкий гарпун имеет меньшее сопротивление проникновения в ткани рыбы и, оставляя меньшую рану, снижает
    вероятность разрыва добычи. 

    4.2.3. Изменение длины гарпуна. 

    Наш стандартный гарпун имеет длину 76 см. Проведем сравнение его характеристиками гарпунов длиною 60 см и 95 см. Мы выбрали именно такие изменения длины, поскольку полученные изменения массы при этом будут соизмеримы с изменениями массы, рассмотренными в пункте 4.2.2 при варьировании диаметром гарпунов.

    Проводя анализ графиков, представленных на рисунках 16 и 17, можно констатировать нецелесообразность уменьшения длины гарпуна. Это приводит к значительному уменьшению кинетической энергии, хотя потери в скорости на дальних дистанциях выглядят не так угрожающе. Увеличение длины на 19 см приводит к ощутимой прибавке в кинетической энергии, но здесь следует понимать и причину такого увеличения. В значительной мере эта прибавка связана с перенесением начала отсчета на 19 см вперед, хотя увеличение наблюдается и относительно несмещенного начала отсчета. 

    Анализируя подлетное время видоизмененных по длине гарпунов, как и ранее, приходим к выводу, что его изменение не приведет к существенным различиям в результатах стрельбы (см. рис. 18). 

    Траектория движения самого массивного гарпуна, представленная на рисунке 19, несколько ярче отличается от траекторий, полученных варьирований плотностью и диаметром, хотя проседание его на дистанции 2,7 м всего на 5 мм меньше чем стандартного.

    Таким образом, удлинение гарпуна можно проводить с целью увеличения дистанции уверенного поражения. Эта необходимость может возникнуть при изменении условий охоты – выход из зарослей и коряг на открытую воду, или улучшение видимости. 

    4.3. Анализ результатов, полученных при варьировании параметрами гарпунов и выбор наилучшего изменения. 

    Как показывают исследования, проведенные в разделе 4.2, лучшие результаты дают гарпуны увеличенной массы. Поскольку заметных изменений во времени подлета не наблюдается, то этот график не будем показывать при обобщении результатов. Разумеется, что наилучшие результаты покажет гарпун, у которого увеличение массы будет проведено по трем параметрам: толщине, длине и плотности. При сохранении толщины стенок 1 мм, получаем диаметр свинцового сердечника – 7 мм, массу гарпуна – 595 г и среднюю плотность – 9852 кг/м3. Такой гарпун увеличивает убойную дистанцию до 4 м, считая от его кончика в момент окончания разгона. Но, как уже упоминалось, изготовление его требует достаточно серьѐзных затрат. Следующий за ним результат показывает утолщенный и удлинѐнный гарпун, увеличивая дистанцию уверенного поражения до 3,52 м, что на 82 см больше чем у стандартного (см. рис. 20). 

    Но как показывают расчеты, почти такого же результата можно добиться, уменьшив диаметр линя с 2 мм до 0,4 мм. Если мы охотимся на сома, то такая замена не оправдана – никто не стреляет его с 4-5 метров, да и такой толщины линь будет обязательно порван. А вот в морской охоте на максимальной дистанции такой подход может быть очень полезен. Лобан или горбыль массой 1-2 кг не способны порвать современную леску диаметром 0,4 мм. Недостаток тонкой лески в том, что она легко режет мясо рыбы, оставляя подранка. Но этого можно избежать, пойдя на компромисс –
    поставив после гарпуна участок 2-х миллиметрового линя длиною 30-50 см. 

    Практически та же ситуация прослеживается и в кинетической энергии (см. рис. 21). Пускай энергия стандартного гарпуна, но с тонким линем и меньше, чем у тяжелого на всем протяжении убойной дистанции, но ее уровень все равно выше критического, а значит охота на кефаль – открыта! 

    Еще неожиданнее выглядят траектории гарпунов-победителей (см. рис. 22). Незначительно проигрывая в убойной дальности, стандартный гарпун с тонким линем почти на 3 см меньше отклоняется от прямолинейной траектории, чем утяжеленный. Этот факт так же следует занести в счет побед тонкого линя.

    Подводя итоги анализа результатов варьирования параметрамигарпуна, можно с уверенностью сказать следующее.

    1. Уменьшать массу гарпуна нецелесообразно ни за счет длины или диаметра гарпуна, ни за счет применения титана или улепластика.
    2. К наилучшим результатам по увеличению дальности поражения и кинетической энергии гарпуна приводит применение гарпуна со свинцовым сердечником; следом за этим идут результаты полученные при увеличении диаметра и длины цельностального гарпуна.
    3. Одновременное утолщение и удлинение гарпуна дают наилучшие результаты по увеличению убойной дистанции, с учетом себестоимости изготовления гарпуна.
    4. Уменьшением толщины линя можно достичь таких же результатов по скорости и кинетической энергии, а по траектории и превысить показатели гарпуна, видоизмененного удлинением и утолщением.

    4.4. Два ружья с одинаковой энергией выстрела. 

    В этом разделе мы проанализируем результаты выстрела двух ружей, передающих одинаковую кинетическую энергию гарпунам, естественно без учета эффектов подброса и волнообразных колебаний гарпунов.

    Прообразом первого ружья послужило пневматическое с расположением рукоятки на 2/3 длины ствола. Диаметр гарпуна 8 мм, а его длина 76 см. При закачке 25 кг и коэффициенте полезного действия 75% гарпун получает энергию 108 Дж. Кончик гарпуна при окончания разгона отстоит от рукоятки на расстоянии 1,2 м.

    Вторым ружьем выберем арбалет с длиной гарпуна 1,15 м и диаметром 6,25 мм, так как только арбалет можно зарядить столь тонким гарпуном такой длины. Фирма-производитель гарантирует получение гарпуном 108 Дж при использовании 18-ти миллиметровых тяг. Расстояние от кончика гарпуна до рукоятки при окончании разгона 1,8 м.

    Поскольку гарпуны имеют приблизительно одинаковую массу (298 г и 275 г), то имея равные кинетические энергии, будут иметь и почти равные начальные скорости. 

    График, приведенный на рисунке 23, показывает, что убойная дистанция арбалета больше на 34 см. Если же анализировать зависимость кинетической энергии от координаты (см. рис. 24), то дистанция уверенного поражения увеличивается на 28 см. Как видим, преимущество хоть и есть, но незначительное. Если же анализировать уровень энергии арбалета на критической дистанции пневмата (сечение Б), то прирост составит 50%, а это уже существенная прибавка для уверенного поражения цели. 

    Анализ траекторий движения двух гарпунов показывает, что на критической для пневмата дистанции отклонение гарпуна от прямолинейной траектории на 3 см больше, нежели у арбалета (см. рис. 24). 

    Таким образом, последние факты объясняют преимущество применения арбалета на открытой воде. Но здесь стоит еще раз заметить, что наши исследования предполагали рассмотрение идеальных ружей, которые не имеют подброса, гарпуны жестко фиксированы на всем протяжении
    разгона, а флажки не нарушают осевую симметрию. В реальной ситуации отсутствие направляющей гарпуна на арбалете и верхнее расположение флажка увеличивает отклонение от прямолинейной траектории на 2-3 см, а подброс «недобросовестного» пневмата заставляет охотника целиться с занижением на коротких дистанциях стрельбы.

    Также следует сказать, что указанные преимущества арбалета достигаются не за счет меньшего сопротивления водной среды движению гарпуна. По скоростным и энергетическим характеристикам в системе отсчета связанной с острием в момент окончания разгона длинный и тонкий гарпун проигрывает на всей дистанции полета толстому и короткому.

    Преимущество же достигается счет того, что острие в момент окончания разгона выдвинуто на 60 см дальше, чем у пневмата. 

    Кроме того, имея б’ольшую площадь осевого сечения гарпун арбалета падает (движется в вертикальном направлении) медленнее, чем гарпун пневмата (см. рис. 25). Напомним, что построенные математические модели не учитывают эффекты стабилизации гарпуна как за счет собственной длины, поэтому в реальных условиях будет возникать и стабилизирующий момент,
    который у данного арбалетного гарпуна выше на 20%.

    Не агитируя «за Советскую власть», то есть, не перечисляя преимуществ и недостатков каждого типа ружей, скажем: «Хотите далеко стрелять – приобретите длинное ружье!». Расчеты показывают: насколько бы не было перекачано или не обвешано дополнительной резиной короткое ружье, оно проиграет длинному. Ведь удлиняя всю конструкцию, мы получаем еще и дополнительный ход поршня или резиновых тяг, а значит и увеличение начальной кинетической энергии. 

    5. Заключение. 

    В данной работе мы постарались рассмотреть особенности полета гарпунов, выпущенных из подводного ружья. Варьируя плотностью материала, диаметром и длиной были определены наиболее выгодные изменения, которые следует вносить в конструкцию гарпуна для получения наилучших результатов стрельбы.

    По большему счету, работа не открывает каких либо сногсшибательных фактов – большинство приведенных теоретических результатов уже получены охотниками экспериментальным путем. Но имея представленные математические выкладки и расчетную программу (прилагаемый файл Exel ), можно провести количественные (а не просто качественные) расчеты и, возможно, избежать ненужных ошибок при приобретении или модернизации оружия.

    В прилагаемом файле формата Exel рассчитываются зависимости исследуемых величин по заданным параметрам гарпуна и ружья. Истинным аргументом является координата х, а все остальные величины – это функции. Но так как колонка времени взаимосвязана с координатой, то справедливыми будут и зависимости скорости, энергии, силы и т.д. от времени. Также справедливой будет и зависимость y(x) – траектория движения гарпуна. Колонку G «t(x)+t выхода», в которой рассчитано суммарное время с момента начала действия на гарпун силы и до достижения гарпуном определенной дистанции лучше всего использовать только для построения графика подлетного времени tподлета(x). Следует учесть, что в расчетах за начало отсчета принято положение острия гарпуна в момент окончания разгона, поэтому для вычисления реальной дистанции следует добавить расстояние до рукоятки ружья. При желании можно обойтись без задания КПД, силы зарядки и хода поршня ружья, введя значение начальной скорости или кинетической энергии в соответствующие ячейки.

    Все ячейки не защищены от изменений с той целью, чтобы любой желающий мог видеть заложенные принципы расчета и формулы. В таблицах есть несколько скрытых колонок, которые подсчитывают интегральные суммы.

    Рекомендации.

    Настоятельно не рекомендуем проводить расчеты с помощью калькулятора, так это может нанести существенный вред Вашему здоровью. Строить графики в Exel, на наш взгляд, не нужно, так как анализировать их будет достаточно хлопотно. Для этой цели мы использовали программу Origin; можно также применить специализированные программы типа Mapl, Mathcad и др. 

    Литература.

    1. Блинов А.Д. Курс артиллерии. Внешняя баллистика метрология в артиллерии. Полная подготовка данных для стрельбы.. –М.: Воениздат, 1948. – 288 с.
    2. Белевич М.Ю. Гидромеханика. Основы классической теории. Учебное пособие - Санкт-Петербург: РГГМУ, 2006.- 213 с.
    3. Дехтярь В.Г., Петров В.И. Гидродинамика баллистических ракет подводных лодок: монография –Миасс: ФГУП «РГЦ КБ им. какд. В.П. Макеева», 2004. 256с.: ил.
    4. Корпачев В.П. Теоретические основы водного транспорта леса. Изд. "Академия Естествознания", 2009.
    5. Зельдович Я.Б., Яглом И.М. Высшая математика для начинающих физиков и техников. - М.: Наука, 1982. – 510 с.
    6. Коробейников А.В., Митюков Н.В. Баллистики старел по данным археологии: введение в проблемную область. –Ижевск: Изд-во НОУ КИТ, 2007, –140 с.
    7. Озерецковский Л., Гребнев Д., Головко К., Альтов Д. // Травматический диагноз. Калашников. Оружие, Боеприпасы, снаряжение, №8, 2009, с.68. 

    Сергей Коваленко (kovalsky)
    канд. физ.-мат. наук 

  12. Подводные фонари

    Новинка среди подводных подствольных подводных фонарей «HunterProLight-4 XPG» для подводной охоты.

    НАЗНАЧЕНИЕ

    Этот фонарь – ювелирное произведение. Задача по этому фонарю была поставлена приблизить его к образу галогеновой лампы , но с более широким и плотным ореолом. В итоге : центральный луч 36 градусов, угол ореола около 120 градусов. Фактически можно не махать ружьем под водой. Суммарная мощность светового потока 1800 лм.

    Центральный луч выбирается легкосъемной сменной оптикой и может быть 36 и 50 градусов. Соответственно чем шире центральный луч,тем мощнее ореол. Объект под водой по прежнему как на ладони. Фонарь стал еще легче и короче на 10 %, за счет облегчения корпуса и радиатора.

    (Режим 8) - 1час 55 минут

    (Режим 7) -     2часа 40 минут

    (Режим 6) - 3часа 35 минут

    (Режим 5) -     5часов 50 минут

    Мы плаваем с режимом 5, редко - 6.

    Подводный фонарь

    Подводный фонарь

    Подводный фонарь

    Подводный фонарь

    05

    Краткая характеристика и инструкция:

    Приобретенный фонарь является высокотехнологичным изделием, в котором содержатся сложные электронные платы и компоненты. Для надежной и длительной работы фонаря внимательно ознакомьтесь с правилами эксплуатации.

    1. Назначение

    Фонарь HunterProLight-4 предназначен для освещения предметов как на воздухе, так и под водой. Максимальная глубина использования 50 метров.

    ВНИМАНИЕ: Данный фонарь специально разработан и сконструирован для подводной охоты без использования дыхательных аппаратов, также фонарь можно использовать  для дайвинга. 

    2. Комплектность поставки

    • Фонарь HunterProLight-4 - 1шт;
    • Зарядное устройство сетевое 220 вольт - 1шт;
    • Сменная оптика  - 1 шт. Carclo Triple Optic;
    • ЗИП - 1комплект;
    • Инструкция по эксплуатации - 1 шт.;

    3. Технические данные

    Корпус:

    Материал Сплав Д16Т

    Покрытие   Твердый анод.

    Формирование луча   Сменная оптика Carclo Triple Optic:36 и 50градусов

    Источник света Кластер светодиодов  Cree 6-XPG

    Электрическая мощность 20 Вт

    Световая отдача максимальная 1800 Лм

    Температура цвета 3000К, (4000К),(5000К),(6500К)

    Управление светом Электронное микропроцессорное

    Аккумуляторы Li-Ion 4 шт. (LG 38,48 Вт/ч)

    Защита аккумулятора   Электронная, встроенный модуль защиты

    Органы управления Кнопка без фиксации

    Вес на воздухе 400 г.

    Вес в воде 120 г.

    Габариты   Длина: 140 мм,

    диаметр рукояти  48 мм

    диаметр головы 49 мм

    4. Устройство

    Фонарь HunterProLight-4 состоит из:

    1. Кольцо прижимное переднее.

    2. О-ринг акрилового стекла.

    3. Акриловое стекло.

    4. Сменная оптика  - 1 шт. Carclo Triple Optic.

    5. О-ринг корпуса фонаря.

    6. Корпус.

    7. Теплоотвод светодиода.

    8. Кластер светодиодов .

    9. Драйвер управления светодиодом H6Flex (производство U.S.A.).

    10. Аккумулятор(ы) 4 шт LG 18650  9,62 Вт/ч.

    11. Магнитная кнопка-задник.

    12. О-ринг кнопки-задника.

    13. Геркон, разъем зарядки аккумуляторов.

    5. Общее описание.

    Корпус фонаря изготовлен из крепкого сплава дюралюминия Д16Т, который анодирован.

    Кнопка изготовлена из сплава дюралюминия Д16Т.

    Светодиоды и драйвер закреплены на теплоотводе.

    Уплотнения соответствуют ГОСТ , кольцо круглого сечения (42-45-19-2-2)

    6. Принцип работы.

    Источником света служит кластер из светодиодов Cree 6-XPG общей электрической мощностью 20 Вт. Его питание обеспечивает электронная плата-драйвер светодиода (пр-во США). Управление осуществляется с помощью нефиксируемого контакта-кнопки.

    Драйвер может:

    • Включать и выключать питание на диод;
    • Регулировать яркость диода;
    • Предупреждать о половинном заряде аккумуляторной батареи;
    • Предупреждать о низком заряде аккумуляторной батареи;
    • Контролировать температуру теплоотвода с целью обеспечения безопасного

    температурного режима светодиода;

    • Блокировать кнопку от случайного включения;
    • Выключать свет после установленного времени неиспользования.

    Драйвер питается от четырех аккумуляторных батарей.

    Фонарь рассчитан на эксплуатацию при температуре от -20 до +50-и градусов по Цельсию.

    При понижение температуры эксплуатации снижается емкость аккумулятора.

    Это надо учитывать при расчете предполагаемого времени работы. При повышенной

    температуре воды (воздуха) возможно затруднение с теплоотводом от светодиода и драйвера на полной мощности. При этом сработает защита и автоматически понизится яркость до безопасной.

    ВНИМАНИЕ: Не рекомендуется использование на максимальной мощности на воздухе.

    7. Управление 

    • Все управление фонарем производится с помощью кнопки. Различают нажатие с удержанием и клик (короткий щелчок тумблером).
    • Включение и выключение производится кликом кнопки.
      • Регулировка яркости:

    При включенном фонаре можно изменить яркость нажатием и удержанием кнопки. При этом яркость начинает изменяться. При достижении необходимой яркости просто отпустите кнопку. При последующей работе фонарь будет включаться и выключаться именно на этом уровне яркости.

    • При выключенном фонаре, нажав и удерживая кнопку,можно включить фонарь на минимальной яркости. Если при этом продолжать удерживать кнопку, фонарь через секунду перейдет на максимальный уровень яркости.
    • Для блокирования кнопки при выключении: при включенном фонаре трижды быстро кликнуть кнопкой. Драйвер подтвердит принятие команды тремя яркими вспышками светодиодов. Чтобы снять блокировку достаточно кликнуть быстро 3 раза кнопкой. Фонарь включится, блокировка снимется. Фонарь можно включать или выключать не устанавливая блокировку.

    Внимание! При тройном клике и последующем удержании кнопки фонарь два раза мигнет и тускло загорится, указывая на вход в меню программирования. Если вы попали в меню программирования, необходимо выйти из него, нажав и удержав еще раз кнопку. Фонарь 2 раза мигнет и выключится. Фонарь готов к работе.

    8. Подготовка фонаря к работе

    Перед отправкой покупателю фонарь неоднократно тестируется. Тестируются  и аккумуляторные батареи, поэтому перед работой с фонарем необходимо зарядить аккумуляторы.

    НЕ ПРИЛАГАЙТЕ УСИЛИЙ ПРИ ЗАТЯЖКЕ ПЕРЕДНЕЙ И ЗАДНЕЙ КРЫШЕК ФОНАРЯ, СТЕПЕНЬ ГЕРМЕТИЗАЦИИ ОТ ЭТОГО НЕ ЗАВИСИТ. ПРИЗНАКОМ НЕОБХОДИМОСТИ ОКОНЧАНИЯ ЗАКРУЧИВАНИЯ ЯВЛЯЕТСЯ ОГРАНИЧЕНИЕ.  При чрезмерных усилиях затяжки возможно повреждение акрилового стекла и корпуса фонаря.

    9. Замена линзы.

    Открутите переднее прижимное кольцо. Аккуратно рукой или с помощью пинцета извлеките линзу. Установите сменную линзу. Закрутите переднее прижимное кольцо. При закручивании переднего прижимного кольца  не применяйте значительного усилия.

    10. Зарядка.

    • Зарядку можно прерывать на любой стадии. Аккумулятор не имеет эффекта памяти.

    Для длительной и надежной работы фонаря необходимо

    соблюдение очередности действий при зарядке:

    • Зимой зарядка возможна ТОЛЬКО после того, как аккумулятор отогреется до плюсовой температуры. Категорически запрещено производить заряд при минусовой температуре окружающего воздуха и/или аккумулятора.  (Появляется вероятность взрыва аккумуляторов!!!)

    • Вставьте вилку зарядного устройства в сетевую розетку.
    • Присоедините штекер зарядного устройства к разъему фонаря (разъем находится под крышкой кнопки). На зарядном устройстве загорится красный светодиод (сигнал  начала заряда).
    • После завершения заряда загорится зеленый светодиод. (пользоваться фонарем через 15 минут после зарядки - рекомендуется производителем аккумуляторов) 
    • Произведите отсоединения зарядного устройства от сети и фонаря.

    11. Индикация состояния аккумулятора.

    Во время работы фонарь автоматически подает сигнал о состояние аккумуляторов кратковременным миганием.

    Когда аккумулятор наполовину разряжен, драйвер предупредит 5-ю  редкими миганиями.

    При этом следует продолжить работу  в установленном режиме. Предупреждение о заряде ниже половины происходит каждый раз при включении фонаря. Когда останется 15-20% емкости аккумуляторов, фонарь будет предупреждать о скором разряде периодическим миганием (1 раз в 60 секунд). При этом возможна нормальная работа. Продлить работу можно, понизив яркость. Длительность работы прямо пропорциональна яркости, т.е. работа на половинной мощности фонаря будет вдвое дольше, чем на максимуме.

    12. Уход за фонарем и хранение.

    Фонарь не требует особого ухода. Проверяйте чистоту уплотнений при разборке/зарядке

    фонаря. При механических повреждениях уплотнений  во избежание разгерметизации фонаря  необходимо заменить их.

    Нельзя размещать в непосредственной близости от фонаря детали из карбона, титана, сплавов меди и других веществ, способных образовать гальваническую пару с алюминием. При промывке корпуса не использовать никаких моющих средств, кроме хозяйственного мыла.

    При использовании фонаря в соленой воде после каждого использования обязательна процедура опреснения.

    Все резиновые уплотнения (О-ринги) выполнены из маслобензостойкой резины. Для смазки  рекомендуется использовать  Литол-24.

    Хранить и транспортировать фонарь рекомендуется в выключенном и заблокированном состоянии (три клика при включенном фонаре  его блокируют).

    13. Рекомендация по эксплуатации фонаря в зимнее время.

    Во избежание замерзания торцевой кнопки фонаря,после выхода из воды  настоятельно рекомендуем заблокировать фонарь  и,удерживая в нажатом положении кнопку,слить воду через дренажные отверстия фонаря. Затем разблокировать фонарь и продолжать им пользоваться. 

    14. Запрещено!!!

    – хранить и транспортировать фонарь при температуре ниже -20 и выше +40 С;

    – сушить фонарь при температуре свыше +40 С, сушить фонарь в СВЧ печи;

    – использовать фонарь на полной мощности при температуре воды свыше +35 С;

    – подвергать фонарь ударным нагрузкам;

    – разбирать и собирать фонарь мокрыми руками, под дождем или под водой;

    – использовать любые детали фонаря не по прямому назначению.

    – использовать в фонаре любые элементы (втулки, шайбы и пр.), не предусмотренные

    конструкцией;

    – использовать зарядные устройства, не предназначенные для данной модели фонаря,

    – использовать неисправные или поврежденные зарядные устройства;

    – эксплуатировать фонарь с признаками нарушения герметичности: (запотевание,

    разбитое стекло, визуально поврежденные уплотнения корпуса, стекла, пробки и т.д.)

    – применять  чрезмерное усилие  при закручивании переднего прижимного кольца. 

    15. Возможные неисправности и способы их устранения 

    Фонарь не включается.

    Возможные причины и методы устранения:

    • Фонарь заблокирован. Для разблокирования кликните 3 раза. Фонарь разблокируется и включится.
    • 2. Полностью села аккумуляторная батарея. Необходимо ее зарядить.

    Фонарь включается, но через минуту тухнет.

    Причина: Сильно разряженный аккумулятор.

    Устранение: Зарядить аккумулятор.

    Стекло запотевает.

    Причина: попадание небольшого количества влаги внутрь корпуса.

    Устранение: Проверить чистоту посадочных мест уплотнений корпуса. Проверить наличие и целостность уплотнения стекла, а также целостность стекла. В случае необходимости заменить поврежденные уплотнения. Дать фонарю высохнуть и произвести  сборку.

    Фонарь самопроизвольно уменьшает яркость после длительной работы на

    воздухе.

    Причина: срабатывание термозащиты диода и драйвера.

    Устранение: не требует каких-либо действий.

    Гарантийные обязательства.

    Гарантирую безотказную работу изделия в течение 1-го года на электронные компоненты и 6 месяцев на аккумуляторы со дня продажи при условии выполнения стандартных требований,действующих на электронные устройства.

    Разгерметизация фонаря по вине пользователя не является гарантийным случаем и решается в каждом случае индивидуально.

    В случае попадания воды рекомендую  разобрать фонарь, вылить воду, открутить переднее кольцо, извлечь линзу  и оставить полностью

    разобранный фонарь сушиться (при комнатной температуре) в течении нескольких дней. Далее желательно связаться со мной, чтобы получить более подробные советы.

    Фонарь достаточно надежен, но в случае возникновения вопросов обращайтесь: bravo2002@mail.rubravo4nar@gmail.com .

  13. admin
    Последняя запись

    От admin Проверенный,


    Эпилог к выпускам 1,2,3,4 (Хургада). Просто подведение итогов, и небольшой экскурс на тему — а что взять с собой на море, и стоит ли это брать! В общем сморите, и все сами увидите.
    Приятного вам просмотра.

  14. admin
    Последняя запись

    От admin Проверенный,

    Часто во время охоты появляется необходимость пометить определённое место на дне - особенно при плохой прозрачности воды. Для этого я использую буйки двух типов:

    1. "Микробуёк" из пенопласта

    2. Надувной буёк сделанный из пакета "из холодильника"

    Микробуёк предназначен для "скоростной" пометки нужного места. Типовой вариант: широкий водоём, нырок... Пусто, пусто... неожиданно коряга - бросается буёк и всплытие. Через несколько секунд рядом появляется поплавок - место помечено, можно расслабиться.

    Иногда, приходится оставлять ружьё на дне (не всегда катушка - большая необходимость). Бросается буёк и ружьё не потеряется.

    Буйки подводного охотника

    Буёк представляет из себя удлиненный кусочек твёрдого пенопласта с заострённым концом, на который "накручивается" крупная гайка. Для приведения буйка в рабочее положение, гайка сдёргивается (пальцем или обо что-то) и буек бросается в нужное место. Вес гайки превышает плавучесть поплавка, поэтому она сразу ложится на дно, а поплавок, раскручивая с себя капроновую нить, всплывает.

    После использования поплавок приводится в исходное положение. Хранить буёк можно где угодно - лишь бы обеспечивался к нему быстрый доступ. Если используется что-то типа жилета-разгрузки, то лучше всего пришить спец.кармашки (наподобие кавказских газырей) или, просто, под носок, под куртку, в рукав и т.п. Можно брать с собой несколько штук используя их как расходный материал. Чтобы не "грызла совесть" за оставленный мусор, необходимо, выходя из водоёма, извлечь из него несколько "посторонних предметов", поиск которых, обычно, не представляет затруднений...

    Микробуёк незаменим только для "экстренного" случая - его недостатки: плохая заметность на волне и малая плавучесть (на быстром течении его притапливает).

    Чтобы пометить место основательно, для "работы", использую надувные буйки сделанные из пакетов подобных этим

    Буйки подводного охотника

    Размеры могут доходить до литров, но, в любом случае, это один выдох... Большой пакет (или несколько) можно использовать и как плотик, прикрепив к нему карабинчик, на который можно подвесить, даже, ружьё.

    Вариантов конструкций можно предложить множество, но самый простой пакетнитьгрузик.

    Буйки подводного охотника

    На фото поплавок из пакета 300 г "сгущёнки" и грузик для балансировки колёс. Плавучесть больше, чем вес груза, поэтому длину нити нужно брать с запасом.

    Вариантов конкретного исполнения может быть множество, например, если сделать выемки на торцах груза, то наматывать можно "в длину", что быстрее. Можно сделать на грузе пропил и заводить в него нить, чтобы использовать не всё её длину и т.п.

    В сложенном состоянии груз прячется в пакет, на который можно надеть резинку, но это не обязательно

    Буйки подводного охотника

    Надувной буёк значительно удобней, чем жёсткий, например, бутылка, которую постоянно нужно тянуть за собой.

    В случае надобности, буёк вынимается из "укромного" места, груз отпускается (он "самостоятельно" разматывает нить и падает вниз), поплавок надувается. При этом необходимо открутить (не до конца, чтобы не потерять) колпачёк, засунуть горловину в рот, дунуть один раз, закрутить колпачёк - буёк готов.

    Пробовал вделать в колпачёк обратный клапан, чтобы не откручивать колпачёк перед надуванием, но это показалось сложноватым делом, да и ненужным.

    Как вариант, в качестве груза можно использовать съёмный штатный груз, закреплённый на поясе, например, при помощи клипсы. Это удобно, когда нырять приходится на большую глубину, т.к. убрав груз с пояса можно облегчить себя и лучше "вывесить" на глубине, заодно облегчив всплытие. Когда необходимость облегчения отпадёт, всё легко приводится к "исходному положению".

    Мигачев Александр (Mexaниk)
    Ульяновск

  15. Недавно прикупил себе фонарь Эра за 250 рублей в металлическом корпусе.

    Фонарь Эра

    ХАРАКТЕРИСТИКИ

    • Модель: SD1W
    • Бренд: ERA
    • Серия: Универсальные
    • Материал: металл, алюминий
    • Тип лампы: 1W светодиод
    • Питание: 3хLR03(AAA)
    • Источники питания в комплекте: нет
    • Комплектация: Элементы питания в комплект не входят
    • Вариант упаковки: двойной запаянный блистер

    Вставил новые о-ринги, голову закрутил на ленте сантехнический и промазал пастой для резьбовых соединений (соединил основательно, так как голову фонаря больше откручивать не собираюсь). Загерметизировал стекло снаружи.

    На вторую резьбу намотал фум ленту + о-ринг поплотнее поставил. Кнопку сначала промазал суперклеем, затем по периметру добавил герметика и посадил снаружи резиновую заглушку. Вышло очень даже не плохо.

    04

    Так как изначально фонарик приобретал как резервный и для возни с подстреленной рыбой, решил закрепить его на маску (думал еще про крепление на предплечье, но покрутив рукой в разные стороны понял, что свет фонаря немного загораживается кистью). Для крепления идеально подошла клипса для крепления пластиковых труб (можно купить в любом магазине сантехники) как эта:

    03

    Ну и осталось прикрутить эту клипсу к ремешку маски маленьким болтиком + 2 шайбы.

    Крепление фонаря к маске

    И еще: при резком поворачивании головы фонарь стучал по маске, пришлось натянуть на него кусок велосипедной камеры, лучше бы конечно подошел неопрена кусочек, но его под руками не оказалось. Фонарь можно регулировать по вертикали при небольшом усилии.

    06

    07

    08

    09

    Испытание фонарь прошел в ванной, течи не обнаружено. На охоте пока не тестил, но думаю даже с таким неважным светом прозрею под водой, тем более что свет нужен только перед глазами не дальше1 метра.

    Слабое место  в этом фонаре – это стекло, точнее это не стекло, а пластик и довольно тонкий. Но для моей ночной охоты думаю это не критично, так как не ныряю ночью более 4 метров. Тем кто ныряет глубже нужно обязательно поменять родное стекло на более надежное.

    Всем удачной охоты!

     


  16. hudja
    Последняя запись

    От hudja,

    Надеюсь, что первая часть статьи помогла вам чуть лучше разобраться во всем разнообразии различных моделей неопренов. Во второй части я поговорю о вещах более материальных: конкретных моделях и ценах на них.

     

    Введение

    Давайте для начала познакомимся с самим производителем Elios (Элиос). Итальянец Карлос Моросини, основатель Элиос, создавал гидрокостюмы по индивидуальным меркам для себя и своих друзей. Благодаря высокому качеству кроя известность и потребность в его продукции быстро росла, и в 1977 году была создана фирма Элиос. С самого момента появления компания использует только передовые материалы и технологии. Продукция компании стала синонимом качества, ее методы копируются многими конкурентами, а костюмы уже давно приобрели широкую известность среди ныряльщиков. Постоянная инновация, эволюция технологий, и улучшение комфортабельности костюмов, не забывая при этом о доступности цены – вот главная философия компании Элиос.

    Компания предлагает широчайший выбор моделей для всех возможных водных видов спорта: дайвинга, подводной охоты, фридайвинга, плавания, триатлона, рафтинга, серфинга и т.д. Учитывая специфику нашего ресурса, я сосредоточусь только на классических охотничьих и фридайверских костюмах. Если вас интересуют другие изделия, например костюмы из неопрена высокой плотности, соревновательные фридайверские костюмы с супергладкой кожей SCS или костюмы для дайвинга, то пишите мне на емайл.

    Компания Elios делит свои изделия на два класса: профессиональные костюмы – NEOFLEX, и более бюджетные варианты – ECOLINE. К профессиональному классу NEOFLEX относятся костюмы из неопренов от японских фирм Yamamoto и Heiwa. К бюджетному классу ECOLINE относятся неопрены фирм Nam Liong (Тайвань), Sheico (Тайланд) и Sedo (Германия). Такая классификация введена в основном потому, что многие пользователи не знают, какой именно неопрен им нужен, и выбирать им удобнее исходя из цены. Более дешевый ECOLINE (фирмы производители Sheico, Nam Liong и Sedo) противопоставляется в этом случае более дорогoму NEOFLEX (Heiwa и Yamamoto).

    Мы же, наоборот, поговорим о каждой используемом неопренe отдельно. Это позволит вам лучше разобраться в ассортименте и выбрать костюм, оптимально отвечающий поставленным задачам. В конце обзора я поговорю о крое и приведу примеры и цены костюмов, которые, по–моему мнению, наиболее подходят для нас с вами.

     

    Профессиональные неопрены класса NEOFLEX

    неопрен YAMAMOTO

    Костюмы из неопрена Yamamoto относятся фирмой Элиос к профессиональному классу NEOFLEX. Эта пена производится в Японии и считается одной из лучших в мире. Производитель предлагает довольно много моделей для разных нужд. Например, тип 38 – это самый популярный и наиболее распространенный неопрен для дайвинга, водных видов спорта, ортопедических устройств и других целей. Он не очень эластичен и тягуч, зато слабо обжимается и хорошо сохраняет тепло на глубине.

    Тип 39, наоборот, относится к superlite неопренам с очень низкой плотностью. Он максимально комфортен, но очень нежен к порезам и довольно быстро садится при частых циклах компрессии/расширения. Он сильно обжимается давлением, что приводит к резкой потере плавучести при нырках. Этот очень мягкий, легкий и растягивающийся неопрен обеспечивает высокую степень комфорта и является отличным выбором для поверхностного использования, например, серфинга и триатлона.

    Самым интересным для нас является Yamamoto 45. Он наиболее часто используется в подводной охоте и фридайвинге. Уникальная мягкость, растяжимость (более чем в 7 раз!) и эластичность этой пены сочетаются с чрезвычайной прочностью. Такой костюм отлично подойдет для нырков до 20–25 метров. Из этого неопрена клеятся самые дорогие готовые костюмы: Picasso Chicle, Beuchat Elite.

    Костюмы из неопрена Yamamoto 45 очень комфортны для тела. Великолепно тянутся, но в тоже время, превосходно восстанавливают свои начальные характеристики после нырка. Такой костюм будет иметь отличную теплоизоляцию, а тканевый камуфляж STONE MIMETIC хорошо подойдет для наших водоемов, становясь в воде темно-коричневым.

    Неопрен Yamamoto 45 имеет три варианта внешнего покрытия: гладкая кожа (и ее камуфляжи бентос/пелагос), серая ткань и ткань с камуфляжем STONE MIMETIC. Для охотников мы советуем попробовать последний вариант!

    Довольно интересное интервью с директором компании Yamamoto вы можете прочитать здесь.

    Костюмы Элиос из Yamamoto 45Костюмы Элиос из Yamamoto 45Костюмы Элиос из Yamamoto 45Костюмы Элиос из Yamamoto 45Carlos Coste 09

     

    неопрен HEIWA

    Костюмы из другого японского неопрена Heiwa тоже относятся фирмой Элиос к профессиональной линейке NEOFLEX. Неопрен средней плотности (HEIWA medium density) мягок и эластичен, но он уступает по этим свойствам Yamamoto 45, являясь в тоже время дешевле последнего. Heiwa более плотная и лучше противостоит компрессии на глубине. Это значит, что неопрен более износостоек, чем Yamamoto 45, и хорошо подходит как для мелких, так и для глубоких нырков до 40 метров. Такой костюм является наиболее распространенным выбором среди охотников и фридайверов, имея хорошее соотношение цены и качества.

    Неопрен Heiwa имеет пять вариантов внешнего покрытия: 1) черный smoothskin (и камуфляжи бентос/пелагос), 2) черный эластичный нейлон, 3) камуфляжный нейлон, 4) черная суперэластичная ткань Каноко и 5) синяя (5мм) или черная (7мм) водоотталкивающая hydrorepellent ткань. Благодаря своей износостойкости охотники могут не бояться повредить голый костюм, и им великолепно подойдет как камуфлированная гладкая кожа, так и костюм с суперэластичной тканью Каноко.

    Стоит отдельно отметить голый неопрен HEIWA 8мм толщины. Костюм, сшитый по вашим меркам из этого неопрена, будет обладать максимальной теплоизоляцией и идеально подходить для зимних нырялок, не так сильно сковывая при этом ваши движения, как готовые магазинные костюмы. К тому же голый неопрен моментально сохнет на воздухе – это огромный плюс, который мы обсуждали в первой части статьи.

    Тренировочные костюмы: Тонкие 1,5–2мм костюмы из неопрена HEIWA великолепно подходят для тренировок в бассейне или для ныряния в очень теплой воде. При проведении тренировок по динамике обычный 5мм костюм стесняет движения, требует дополнительных грузов и не рассчитан на плавание с вытянутыми вперёд руками. При плавании же без костюма даже при температуре воды +27С через 40 минут наступает переохлаждение организма и результаты (время задержки, расстояние в динамике) сильно падают. Наш опыт показывает, что после 20 минутной разминки, остаётся всего лишь 20 минут эффективной тренировки. 1,5–2мм костюм с гладким неопреном снаружи и нейлоном внутри позволяет тренироваться в полную силу всё отведённое тренировочное время. Помимо этого гладкая кожа дает преимущество в скольжении, а это не маловажно для достижения рекордных результатов.

    голые черные костюмы

    В некоторых моделях Элиос, например в косюмах с суперэластичной тканью Каноко, также может быть использован неопрен Heiwa низкой или высокой плотности. Голые костюмы делаются из неопрена средней плотности.

    altaltalt

     

    Бюджетные неопрены класса ECOLINE

    Как уже было сказано раньше, Ecoline не является фирмой производителем, это собирательное название более дешевых мягких неопренов производства фирм Nam Liong (Тайвань), Sheico (Тайланд) и Sedo (Германия), которые не имеют акульей кожи или специфических камуфляжных покрытий (см. ниже). Фирмы Sheico и Nam Liong является очень крупными поставщиками неопрена, делающими резину для большинства компаний (Beuchat, O.ME.R. и т.д.).

    ECOLINE уступает как по живучести, так и по комфорту и теплоизоляции более дорогим моделям от Heiwa и Yamamoto. Мягкий ECOLINE будет немного хуже, чем Heiwa и Yamamoto, восстанавливать исходные характеристики после циклов компрессии на глубине. Однако не думайте, что этот костюм будет плох! Помните, многие готовые костюмы клеятся именно из ECOLINE-подобных пен.

    У неопрена ECOLINE на выбор имеется несколько вариантов внешнего покрытия: 1) голая кожа (и ее камуфляжи бентос/пелагос), 2) нейлон, 3) эластичная ткань снаружи в комбинации с титановым напылением внутри и 4) камуфляжная ткань (см. ниже).

    altalt

     

    Камуфлированные неопрены от SHEICO и NAM LIONG

    К классу Ecoline также принадлежат неопрен Sheico средней плотности с внешними тканевыми камуфляжными покрытиями Camo Reef и Blue Reef и мягкий неопрен Nam Liong с тканевыми камуфляжными покрытиями Corifena и Spearo. Для наших условий наиболее подходит неопрен Blue Reef и Spearo, первый к тому же сделан с применением эластичной ткани (лайкра).

    Blue Reef Camo SheicoCorifenasheico camoCamo Reef 3 - CopyNew MimeticNew Mimetic 12

     

    неопрен MESH SKIN – АКУЛЬЯ КОЖА

    Неопрен Mesh Skin (акулья кожа) от Nam Liong. Это мягкий неопрен без тканевого покрытия, снаружи материал имеет рифленую поверхность – акулья кожа. Отсутствие ткани позволяет сохранить оптимальную эластичность и тягучесть, а рифленая поверхность дает дополнительную защиту от порезов и придает неопрену хорошие гидродинамические свойства. Для более подробного описания плюсов и минусов обратитесь к первой части статьи.

    Этот неопрен подходит для охотников, которые не хотят использовать тканевые покрытия, но требуют дополнительной износостойкости. Не ждите, что качество резины будет идентично с Heiwa, а уж тем более с Yamamoto. Однако и стоимость костюма будет меньше. Как и с другими голыми костюмами, возможен эксклюзивный камуфляж бентос–пелагос.

    Mesh skin 003Mesh skin 006

     

    Сравнительная таблица

    Для того, чтобы вам было легче ориентироваться среди разных моделей неопренов, приведем сравнительную таблицу (нажмите для увеличения).

    Таблица сравения неопренов

     

    Камуфляж Бентос/Пелагос

    Этот наносимый вручную на голый неопрен камуфляж уже давно стал всемирно узнаваемым символом Элиос. На выбор семь различных камуфляжей подходящих для большинства условий. Для классических голых костюмов с открытой порой или напылением внутри доступны камуфляжи 645 (бентос), 649 (пелагос) и 651. Оставшиеся камуфляжи используются в голых костюмах с нейлонвым покрытием внутри.

    camu

    Для охоты в наших реках и озерах идеально подходят камуфляжи зеленых оттенков, а для пелагической охоты в открытом море – голубые камуфляжи. Так же возможен уникальный серебряный камуфляж.

    a_FOTO_1_newsfoto_4_news 
    Argento mimetizzato 2009
    Костюмы Элиос Benthos 2010 из Yamamoto 45dentice SpagnaMesh skin Pelagos

    Индивидуальный пошив

    Бесспорно, самой полезной опцией при заказе костюма от Элиос будет индивидуальный пошив по вашим меркам. К сожалению, крой готового магазинного костюма не обязательно подойдет именно вашей анатомии. Ведь двух одинаковых фигур не бывает, а готовые костюмы кроятся на усредненных пропорциях манекена. Уж тем более стоит задуматься об индпошиве, если у вас не совсем стандартная фигура: избыточный вес, многолетний стаж в качалке, вы выше или ниже среднего роста, у вас большой обхват бедра и т.д.

    Идеально же подходящий индивидуальный крой сделает ваш костюм максимально удобным и самое главное – очень теплым. Исчезнут пузыри подмышками, на груди или на спине. Вам будет легче передвигаться в костюме, что позволит экономить столь ценный кислород при нырке. Специально для фридайверов возможен крой для плавания с руками вытянутыми вперед. В общем, как пишет Андрей Лагутин в своей книге: «Не тяни резину, купи лучше подходящий размер!».

    СОВЕТ: Если вы привыкли к штанам с лямками, то советуем вам от них отказаться. Вспомните, если вы выгибаете спину, образуется пузырь между лопатками. Помимо этого, чтобы справить нужду, вам требуется снять куртку, а это малоприятное занятие, когда на улице холодно. Многие пользователи сами отрезают лямки за их ненадобностью. Элиос же делает штаны достаточно высокими, на 5–10 см ниже сосков. Это позволяет избежать пузыря на спине и решает вторую деликатную проблему. Теперь достаточно просто немного вывернуть куртку!    

    Другие опции

    При заказе костюма от Элиос у вас есть возможность его индивидуализации. Дополнительно вы можете выбрать арбалетную накладку и наколенники. Наколенники доступны только для костюмов с тканью снаружи.

    hpim1904nakolenniki

     

    Цена вопроса

    Далее я приведу цены на наиболее востребованные модели. Если вас интересует другие варианты костюмов фирмы Elios, то полный прайс вы сможете найти на специализированной страничке нашего клуба. Там же вы найдете и информацию о доставке.

    Обмерочную таблицу и видео-инструкции по снятию мерок вы можете скачать по этой ссылке.

     

    Фридайвер-экстра

    Yamamoto 45 SMOOTHSKIN гладкая кожа/ открытая пора. Опционально камуфляж Бентос/Пелагос. Индпошив.

    3мм - 250 евро; 5мм - 255 евро

     

    Охотник-экстра

    Yamamoto 45 MIMETIC камуфляжная ткань/ открытая пора. Костюм с повышенной защитой для охоты в завалах, камышах и т.д. Индпошив, накладка на грудь, накладки на колени, камуфляж.

    5мм - 312 евро; 7мм - 342 евро

     

    Yamamoto 45 SMOOTHSKIN черная гладкая кожа/ открытая пора + камуфляж Бентос. Костюм для открытой воды и нырковой охоты в наших водоемах. Индпошив, накладка на грудь.

    5мм - 286 евро; 7мм - 311 евро

     

    Фридайвер-премиум

    HEIWA SMOOTHSKIN черная гладкая кожа/ открытая пора. Опционально камуфляж Бентос/Пелагос. Индпошив.

    3мм - 225 евро; 5мм - 238 евро

     

    Охотник-премиум

    Heiwa Kanoko (Superstretch Antitears) черная суперэластичная ткань Каноко/ открытая пора. Костюм с повышенной защитой для охоты в завалах, камышах и т.д. Индпошив, накладка на грудь, накладки на колени.

    5мм - 276 евро; 7мм - 300 евро

     

    HEIWA SMOOTHSKIN черная гладкая кожа/ открытая пора + камуфляж Бентос. Костюм для открытой воды и нырковой охоты в наших водоемах. Индпошив, накладка на грудь.

    5мм - 269 евро; 7мм - 281 евро

     

    Фридайвер-бюджет

    ECOLINE SMOOTHSKIN soft черная гладкая кожа/ открытая пора. Опционально камуфляж Бентос/Пелагос. Индпошив.

    3мм - 190 евро; 5мм - 195 евро

     

    Охотник-бюджет

    ECOLINE SMOOTHSKIN soft гладкая кожа/ открытая пора + камуфляж Бентос. Костюм для открытой воды и нырковой охоты в наших водоемах. Индпошив, накладка на грудь.

    5мм - 226 евро; 7мм - 251 евро

     

    ECOLINE NYLON BLACK стандартная черная ткань/ открытая пора. Костюм с повышенной защитой для охоты в завалах, камышах и т.д. Индпошив, накладка на грудь, накладки на колени.

    5мм - 214 евро; 7мм - 239 евро

     

    Sheico Nylon Camo "Blue Reef" Lycra эластичная камуфлированная ткань/ открытая пора. Костюм с повышенной защитой для охоты в завалах, камышах и т.д. Индпошив, накладка на грудь, накладки на колени, камуфляж.

    5мм - 258 евро

     

    Зимний охотничий костюм:

    HEIWA SMOOTHSKIN гладкая кожа/ открытая пора + камуфляж Бентос. Индпошив, накладка на грудь.

    8мм - 291 евро

     

    Также возможны комбинированные костюмы, например зимний вариант:

    КУРТКА 8мм HEIWA SMOOTHSKIN гладкая кожа/ открытая пора + камуфляж Бентос

    +

    ШТАНЫ 7мм Heiwa Kanoko (Superstretch Antitears) черная суперэластичная ткань Каноко/ открытая пора

     

    Тонкий тренировочный костюм:

    HEIWA SMOOTHSKIN гладкая кожа/ нейлон. Индпошив.

    1,5мм (эластичный нейлон внутри) - 227 евро; 2мм - 233 евро

     

    Интересующие вас вопросы вы можете задать в комментариях к статье, нашем разделе или в отдельной теме на форуме.

     

    Георгий Худяшов, aka hudja
    georgi.freediving.ee
    _собака_gmail.com
    www.freediving.ee

    DISCLAIMER: Перепечатка данной статьи разрешается только с согласия автора. Вся используемая информация была найдена на бескрайних просторах интернета или получена напрямую от фирмы Elios. Если вы нашли какие–то ошибки или у вас есть интересные дополнения, то пишите мне на электронную почту или оставляйте ваши комментарии на сайте. Я всегда рад конструктивной критике и готов к сотрудничеству.

  17. Компания "Подводный Мир" представляет собой специализированный магазин в г. Челябинске.

    Год создания - 1 августа 2007 года

    Специализация - розничная и оптовая торговля снаряжением для дайвинга, подводной охоты, сноркелинга, гарантийное и постгарантийное обслуживание снаряжения.

    Так же мы занимаемся поставками, гарантийным и постгарантийным обслуживанием легководолазного и профессионального водолазного снаряжения, компрессоров высокого давления, дыхательной техники, средств подачи воздуха, водолазных комплексов и барокамер, подводного инструмента и приспособлений.

    Формат магазина - мультибренд, снаряжение для дайвинга, подводной охоты и сноркелинга лучших мировых и отечественных производителей по оптимальному соотношению "цена - качество". У нас вы найдете все самое качественное, проверенное годами и популярное у большинства дайверов и подводных охотников снаряжение. По некоторым брендам возможна раздельная продажа гидрокостюмов, т. е. можно приобрести отдельно штаны или куртку.

    Бренды, представленные в магазине:

    Akvilon, Ali-Tek, Aqua Lung, Batial, Bauer - Poseidon, Beuchat, Coltri Sub, Cressi-Sub, Demka, Faber, Hycon, Hydra - Tech, H2Odyssey, Ike Lite, JBL,  Kirby Morgan, Mares, Neopro, Ocean Reef, O.ME.R, Picasso, PortaCo, Princeton Tec, Raf Song, Rob Allen, Salvi, Sargan, Scubapro, Seac-Sub, Spetton, Spora Sub, Stanley, Technisub, Tecnomar, Tilos, Tusa, Viking, Whites, Xs Scuba, Таймень и многие другие....

    О компании "Подводный Мир":

    Компания "Подводный Мир" является давним партнером Челябинского отделения РФПР и постоянным спонсором всех соревнований, проводимых  Челябинским отделением РФПР, регулярно оказывает спонсорскую поддержку в проведении соревнований ГУ ПСС ЧО.  С 01.11.09 мы являемся официальным эксклюзивным дистрибьютором и авторизованным сервисным центром ОАО "Тетис Про", г. Москва на территории Челябинской, Курганской и Свердловской областей.

                                                         Тетис Про

    Для того чтобы помочь вам правильно подобрать снаряжение, мы постоянно повышаем свой уровень знаний. Выставки, семинары, проводимые специалистами фирм - производителей и специалистами  официальных дистрибьюторов, консультации профессионалов дайвинга и подводной охоты никогда не остаются без нашего внимания. Кроме того, наши сотрудники проходят практические занятия в бассейне и на открытой воде, чтобы на практике понять отличие того или иного оборудования и область его эффективного и наилучшего применения.

                                              

    В нашем магазине представлено только то оборудование для дайвинга, подводной охоты и сноркелинга, в безопасности и надежности которого уверены мы сами, которое распространяется официальными дистрибьюторами, обеспечивающими гарантийные обязательства, сертификацию и сервис,  что гарантирует нашему покупателю широкий ассортимент, высокое качество товаров, минимальный процент брака.

                                         

                                         

                                         

                                         

                                         

                                         

                                         

                                         

    В магазине осуществляется примерка как мокрых, так и сухих гидрокостюмов. Для этого есть все условия, примерочная или душевая кабина. После примерки костюмы и коврики в примерочной и душевой обрабатываются антисептическими растворами.

    Все это позволяет помочь сделать вам правильный выбор среди того огромного разнообразия, представленного у нас в магазине и на рынке снаряжения для дайвинга, подводной охоты и сноркелинга. В случае, если вы сомневаетесь в правильности выбора, вы можете взять снаряжение в тест, предварительно оплатив его полную стоимость, и после тестирования решить для себя, оставить снаряжение, обменять на другое или вернуть нам при условии сохранения товарного вида.

    Мы помогаем вам сделать правильный выбор!!!

    Тел.: (351) 774 - 82 - 04, 750 - 36 - 67, 8 908 - 080 - 64 - 46
    Skype: podmir74

    г. Челябинск, пр. Победы, 100
    магазин "Подводный Мир".

    отправим в любой город, подробнее см. "Как заказать товар "

    Мы в соцсетях:
    ВКонтакте
    Faceebook
    Twitter

  18. Дед_СД
    Последняя запись

    От Дед_СД,

    Тот год для меня заканчивался весьма удачно. Выиграл все городские и областные соревнования по летнему многоборью. Что особенно порадовало, так это дебют на чемпионате Украины по СПС, где первое место в подводной охоте и третье в многоборье.И сегодня под завязку старого года можно сказать уже выиграл область по зимнему многоборью. Как ни странно, легко пошло подтягивание, которое всегда не любил. Перед этим очень удачно отстрелялся из винтовки, это был мой конек. Осталась лыжная гонка, и мне можно было проиграть 2-3 месту метров 300-400. Но всегда привык выкладываться до конца, тем более, что это уже последнее соревнование в этом году, и первое место было уже в «кармане». Перед стартом была почти безветренная погода, и я снял ветровку, но когда выбежали в поле, то сильный встречный ветер очень неприятно давил на разгоряченную грудь. У своих основных соперников я выиграл, хотя самой гонки и не выиграл, но первое место в многоборье было мое.

    Кажется, что в этом году достигнута, наконец-то, желанная спортивная форма, а через год перехожу в другую возрастную категорию, и там будет уже чуть легче, пока снова не придет «молодежь». Все страсти уже позади, автобус катит нас домой, за окном темно, хочется подремать, но «сквознячок» дующий из щели в двери не дает заснуть, как-то неуютно…

    Утром проснулся в состоянии сильного озноба, было тяжело дышать, и при вдохе выше поясницы была тянущая боль, температура 38.5. Пошел к производственному врачу, написал он в больничном - ОРЗ и советовал мне погреть свой радикулит, хоть я и пытался доказать, что нет у меня никакого радикулита. Домой доковылял весь разбитый, температура подскочила до 39.5, ночь промучился, сидя и покачиваясь от боли… Хорошо, когда есть врачи школьные друзья, тем более товарищи по спорту. Пошел прямо к Николаю, а он в свою очередь, отвел меня к нашему городскому пульманологу. Яков Петрович, послушал меня и сразу же заявил – немедленная госпитализация, это воспаление легких.

    Почти два месяца провел я в пульманологии, так случилось, что спустя некоторое время, когда уже дело шло на поправку, прямо в больнице началось двухстороннее воспаление легких. Выписался уже из больницы я весной со спайками в левом легком. Было очень приятно идти и вдыхать теплый весенний воздух, но мысли были мрачные. Считай, что этот год уже пропал, во всяком случае, врачи запретили всякие тренировки…

    Осенью заметил в слюне капельки крови, но сначала не придал этому значения, подумал, что из десен. Но когда однажды на снегу увидел приличный сгусток крови, то снова пошел в пульманологию. Снова больница, снова уколы и лекарства, различные процедуры. Выписали перед самым Новым Годом…

    Весной опять кровь в слюне. Снова больница, провели обширное обследование и определили опухоль в правом легком. И вот сидим в кабинете: Яков Петрович, Николай и я, пьем кофе и ведем невеселую беседу. Разговор у нас был довольно откровенный – опухоль может быть и с «клешней», но окончательно об этом могут сказать только анализы после операции. Надо ехать в Киев, в клинику грудной хирургии. Вскоре я уже пациент терапевтического отделения этой клиники.  Когда гулял вокруг клиники, то узнал, что рядом знаменитый Амосовский институт, но больше всего мне «понравилось», что рядом с этими двумя серьезными клиниками соседствует Байковое кладбище, так сказать, все «услуги» рядом. Сразу на операцию не положили, лечили таблетками и уколами и периодически проводили обследование. Пришло время главного консилиума, которого большинство пациентовждут с трепетом. Здесь и твои родные лечащие врачи, завы отделениями и светилы в области легочных заболеваний. Приговор окончательный, так как лечение практически ничего не дало - операция, но только после согласия самого пациента. А куда я на фиг денусь?!

    В тот же день был переведен этажом выше в хирургию. Тут уже другие не только порядки, традиции, но и запахи. По коридорам тянутся резиновые трубочки, которые начинаются от источников кислорода, а заканчиваются в грудях несчастных пациентов. Про подготовку к операции ее начало, и как очнулся в реанимации, я опущу. Спустя некоторое время из реанимационного отделения был снова переведен в палату на послеоперационное лечение. Мой лечащий врач, сказал, что все в порядке и ушел в отпуск. Коллега, его замещающий, как-то неосторожно, при мне спросил у другого врача про экспресс-анализ моей опухли, и тот, как мне показалось, дал ему понять, что потом мол, поговорим.Наблюдая за врачами и сестрами, я заметил, что они иногда заглядывают в конец журнала-истории болезни. Потом я узнал, что там подклеиваются экспресс - анализы – анализы срезов опухли сразу после операции на предмет онкологии. Поздно вечером, когда дежурный врач и сестры ушли в дальние палаты, я зашел в ординаторскую, нашел свою историю болезни, открыл нужную страницу. Читаю - «низкодифференцируемый плоскоклеточный рак легкого»!!!??? Сейчас мне трудно точно передать то, что я ощутил в первый момент. Помнится, что «потемнело», какой-то «удар» и «звон в ушах». Сколько длилось «помутнение разума» я не помню, когда «очнулся», вернулся в палату и лег на кровать. Но как молот по мозгам било одно слово: рак, рак, рак… Всплыла фраза «низкодифференцируемый», и я подумал, что может это означает – "плохоопределяемый" и они ошиблись. Человек всегда ищет себе соломинку…

    Гораздо позже я поискал в интернете фразу «плоскоклеточный рак легкого», результат ошеломил меня: 2608 страниц и 539 сайтов, где говорится об этом. Для курильщиков персонально – прямой путь его заполучить (я тоже раньше курил). Но в тот момент я думал совсем другое, ведь вырезали, может еще и обойдется!?…Запомнилась и фраза из протокола операции: «по рекомендации профессора «имярек» - вырезать в пределах здоровых тканей». Сам себе рассуждал, я еще живой, думаю, что и здоровых тканей хватило для «предела». Заснул я только под утро, когда смог себя «зазомбировать» воспоминаниями о том, как нырял и колол камбалу в Азовском море. Море ведь всегда «убаюкивало» и «растворяло» меня. И теперь постоянно, если приходится обрезать пятна на картошке или чистить деревья от гнили, то вспоминаю ту фразу – «удалить в пределах здоровых тканей». Мне это удаление обошлось в 1800 кубиков, был объем легких 5800, а стал 4000, но как поется в одной из песен В.Высоцкого – «спасибо, что еще живой…»…

    Поддержка друзей и родных это тоже очень важная сила, способствующая скорейшему выздоровлению. Вот стихи – пожелания моего друга Володи, которые я получил перед операцией:

    …Вера в удачу - ершистая сила,
    Все Ихтиандры в одном похожи.
    В том убедятся большие светила
    Зазубрив о ребра стальные ножи
    Будут панически пятиться раки,
    Губы растерянно скривит сазан,
    Рты в удивленье откроют зеваки
    Снова увидев твой полный кукан.

    Спустя полтора месяца после операции, уже был дома и мы с Володей, моим верным другом и товарищем поехали на подводную охоту на Оскольское водохранилище, вернее он на охоту, а я сопровождающим на лодке, но свое все снаряжение тайком от жены все-таки взял. Я сказал ему, что мне надо сделать только один выстрел, чтобы снова почувствовал себя не просто живым человеком, а подводным охотником. Володя долго меня отговаривал, но думаю, понял, что это значило для меня. Попросил его подойти на лодке к одному моему любимому заливчику, где рядом с глубоким руслом была отмель глубиной не более двух метров, заросшая редким тростником и рогозом с полянами внутри, покрытыми сверху тиной и зарослями кувшинок. Там всегда можно было найти сомиков, лежащих на дне на полянках внутри камыша, или висящих под листьями кувшинок. Володя помог мне надеть гидрокостюм, шрам местами ныл, но в основном правая часть грудной клетки «пугала нечувствительностью тела». Лечащий врач сказал, что при операции пересекли кучу нервных окончаний и спустя полгода - год чувствительность тела появится. Сами легкие не имеют нервных окончаний и не болят, а вот все их окружение уже более капризное в этом отношении. Пока мы надели вдвоем с ним на меня гидрокостюм, совсем ослаб, но затею свою не оставил, хотя Володя сделал последнюю попытку отговорить меня от ныряния. И вот я уже в воде.  Как приятно лежать в воде и, слегка шевеля ластами, скользить по ее поверхности, поглядывая вниз на подводный мир. Приятно снова ощущать в руке рукоятку подводного ружья... Все, думаю сам себе, все уже позади, я снова «возродился», но надо еще произвести выстрел! Сначала минут 10-15 просто осваивался наповерхности, поглядывая на дно и в камыши. Сделал несколько пробных нырков на чистой воде, ныряя на пару метров - вроде ничего не забыл, но все равно страшновато – как там себя поведут танталовые скобки на легких. Затем облюбовал себе один небольшой островок среди кувшинок, окруженный редким рогозом. Подошел к нему метра на два, закрыл глаза, чтобы потом лучше было бы смотреть в полумраке под тиной и листьями кувшинок, сделал потихоньку несколько вдохов-выдохов, которые вряд ли можно назвать гипервентиляцией, нырнул в загадочную темноту, и открыл глаза. Ухватившись у дна рукой за стебли рогоза, стал всматриваться в полумрак. И, как в прежние времена, как по заказу, вот он, свисающий хвост сомика. Всего его не видел, но мне достаточно и этого, чтобы выстрелить чуть выше хвоста. Что я мысленно бормотал, целясь в него, уже не помню, но твердо помню, загадал, что если попаду в него, то все будет нормально в моей дальнейшей жизни, что буду нырять, и охотится, как и прежде, ну почти как прежде. Понимал, конечно, что после операции на легких уже полного здоровья не будет, но тогда об этом не думал. Передо мною была самая главная цель в моей жизни, и я должен ее поразить.

    Выстрел, клубы пузырьков вырвались из надульника и скрыли от меня все. Ружье мгновенно стравило, ведь два года оно лежало и не работало. Вдруг почувствовал рывок, и только тогда я понял, что попал. Попал!!! Не думая уже о том, что сомик может сорваться, вынырнул из-под тины, подтянул линь к себе, взял его за жабры, поднял голову над водой, вытянул в руке сомика и что-то заорал. Даже то, что ружье стравило после единственного выстрела, я понял как хороший знак. Пока только один выстрел – и все!

    …Потом еще было кровохарканье и длительный процесс реабилитации – лекарства, процедуры, рентгенограммы и т.п. Но ни врач, ни жена, не знали о том единственном выстреле, который дал мне самый главный стимул и веру в благополучный исход. Со спортом пришлось расстаться навсегда, пробовал бегать, но когда боишься «напрячься», то это уже не спорт. Олимпийский лозунг – «главное не победить, а участвовать», придумали те, кто не стоял на пьедестале почета. Теперь и я «согласен» с этим лозунгом, когда боишься бежать в полную силу,потому, что в груди есть скобки на легких, какая уж тут может быть победа.

    А тот единственный выстрел дал мне веру в будущее, но в тот год и позже я больше не нырял. Через пару лет, как-то незаметно, снова стал охотиться, сначала на мели, а потом и в завалах на Донце. Конечно, задержка дыхания уже у меня была не та, что раньше, но для любителя, каковым я стал себя считать после операции, и этого достаточно.

    Фраза уважаемого профессора – «в пределах здоровых тканей» заложила основу веры в благополучный исход, а тот единственный и удачный выстрел -превратил ее в реальность.


    Александр Сикало.
    Северодонецк. Ноябрь 2003 г
  19. Ласты



    Мнения о ластах различных производителей

    Beuchat

    • Для меня наиболее удобной калошей является калоша ласт Goldfin, жесткость лопастей тоже ничего.

    Golgfin

    • Как по мне, то лопасти Goldfin слишком мягкие, к тому же приходится много работать ногами. Все бы в них ничего, но им не хватает мощности при всплытии или когда нужно ускориться. Однако это вполне неплохие ласты.

    • Я использовал Goldfin всего лишь раз. Они показались мне довольно удобными, мягкими и в них было легко грести, по сравнению с моими Cressi Gara 2000 синего цвета. Для работы на мелководье или в камнях Golgfin просто идеальны. Я считаю, что они не подходят для глубоких погружений, хотя мне так и не довелось опробовать их глубже 10 м.

     

    • Несколько лет назад я прикупил себе Goldfin. В основном из-за того, что все говорили будто бы они очень долговечные. Ласты других производителей, включая Cressi, имели плохую репутацию из-за частых поломок лопастей. Один мой знакомый уверял меня в том, что он пользовался Goldfin более 10 лет и они были его любимыми ластами. Большинство народа соглашалось с тем, что они были тяжелее, но служили дольше. Когда я был в Майями, то я попробовал: они прекрасно сидели на ноге и я их купил. Мой размер ноги 42,5 и у меня постоянно проблемы с подбором обуви - она или слишком большая или слишком маленькая. Поэтому, когда я попробовал Goldfin, я был искренне удивлен тем, как хорошо они на мне сидели. Я решил, что у меня будет пара удобных ласт на ближайшие 10 лет! Модель Goldfin выпускается в следующих размерах: 41,5 - 43, что как раз мне подходило, так как я использую 3мм носки. Мне также понравилась их жесткость. Они жесткие, но вам не нужно быть слишком атлетичным для того, чтобы почувствовать все их достоинства. Я обнаружил, что при толчке для движения вперед они ничем особо не отличались - лопасть, казалось, как бы отклонялась в сторону. Пользовался я ими не так уж и часто, а на второй год их использования при прыжке в воду одна из лопастей дала трещину. Я подумал, что это из-за того, что я прыгнул в воду с ластами на ногах. Я отремонтировал ее при помощи пары болтов и шпателей. На следующей неделе я нырял на том же месте, но теперь я сначала нырнул, а потом одел ласты в воде. В этот раз лопнула вторая лопасть и это произошло не из-за того, что я прыгал в воду! Казалось, что они отработали свой лимит или что-то в этом роде. Они обе треснули в одном и том же месте, с разницей всего лишь в одну



    Мнения о ластах различных производителей

    Cressi Gara 2000

     

    • У меня были как-то Cressi Gara с синими лопастями и они мне нравились, но у них треснула резина на калоше. Я обратился в магазин, где их купил, те отослали их обратно и Cressi прислал мне новую пару с черными лопастями. Я прикинул, что за черт, мне удалось проапгрейдить свои ласты! Но спустя год треснули и эти… Мне больше нравились с синими лопастями, так как они были не такие жесткие. Плавая в бассейне с синими я без труда проплывал милю а то и больше, а плавая с черными, у меня начинали хватать судороги. В океане существенной разницы не наблюдалось, за исключением того, что в синие, как мне показалось, были менее эффективны при одинаково затрачиваемых усилиях.

    • Я не разбираюсь в различиях между моделями, но мне кажется, что те, с синими лопастями, о которых упоминалось выше, относятся к средним по жесткости ластам Gara 2000 от Cressi. У меня есть ласты с черными и синими лопастями. Пока что, мне больше всего нравятся с синими.

     

    • Я думаю, что я попробовал все более менее известные модели. У меня не было Sporasub и Mares, но я пользовался ими в прошлом. Я считаю, что нужно брать Cressi или Esclapez.

    • Если вы хотите себе ласты мягче чем Gara 2000 с синими лопастями, то поищите старую модель Rondile, я, правда, не уверен, что они все еще их выпускают, но у Cressi также есть и версия Gara 2000 с серыми лопастями.

    Gara 2000 LDGara 2000 HF

    • На протяжении последних 8 лет я с удовольствием пользовался Cressi. И вот почему: в районе пальцев калоша довольно мягкая, но вокруг верхней части ступни она имеет жесткую ленту, (залитую резиной), что позволяет их активно использовать.Мне они очень нравятся. Они что действительно ломкие? Я считаю, что это зависит от вашего веса. Я (ИМХО) мало вешу (170 см и 63 кг - зато я бегаю быстро :), так что для меня синие лопасти слишком мягкие (ИМХО) для серьезного дайвинга. Я попробовал их однажды и сразу же отказался от них. Теперь я использую черные лопасти, (пожестче) и в мне них нормально нырять до 25м. Если вы планируете нырять глубже - начинайте искать ласты с карбоновыми лопастями! Я ныряю в "C4", сделанных под заказ и разница просто потрясающая.

    • Думаю, что Cressi Gara 2000 (с синими лопастями) вполне нормальные. Они в меру жесткие и долговечные. Калоша у Cressi узковата, так что она больше подойдет женщинам. Если вы ищите ласты с долговечными лопастями и удобной калошей, выбирайте Cressi. В прошлом я нещадно их эксплуатировал и при этом они неплохо сохранились. Когда к ним привыкнешь, то чувствуешь себя комфортно и можешь развивать большую скорость

    • Я пользовался Gara 2000 с синими лопастями, для того чтобы подбираться к стаям тунца, и они неплохо себя зарекомендовали. Единственное, что после двух лет их использования они стали казаться мне недостаточно жесткими, или это мои ноги стали сильнее? Черные Cressi намного жестче, приблизительно такие же как и черный Esclapez.

    • Я немного нырял вместе со Скотом из Pacific Grove (упоминавшемся в вашем письме), так что мне довелось попробовать Cressi с черными лопастями в бассейне. Это было небо и земля по сравнению с Mares Quattro, которыми я пользовался при скубадайвинге. Я купил себе черные Cressi и они мне очень нравятся. Один мой друг плавает в зеленых Esclapez и на прошлой неделе я попробовал понырять в них в океане - это что-то, скажу я вам. Я заядлый танцор свинга и поэтому мои ноги в хорошей физической форме, так что я думал, что черные Esclapez наиболее мне подойдут, но я попробовал зеленые и я от них просто в восторге! В них было намного легче грести и мне показалось, что я в них развивал бо`льшую скорость. Я до сих пор пытаюсь определиться, но мне кажется, что лопасти средней жесткости это самое оно. Мой друг говорит, что черные лопасти никогда не сгибаются у меня на ноге до 45 градусов, даже когда я гребу изо всей силы. Я думаю, что нужно иметь ласты, которые сгибаются до 90 градусов, но не более и чтобы они не расходовали всю ту энергию, которую вы к ним прилагаете.

    • Я ныряю в озере с Gara 2000hf (черные), они очень жесткие и от них мало отдачи, что делает их неудобными для озера. Калоша слишком тонкая и от этого не такая эффективная. Я также пробовал Gara 2000 (синие) и они мне понравились, в частности, при движении в сторону, но опять же, - калоша должна быть толще.

    • Я слышал, что Gara 2000 слишком нежные. Наш местный магазин перестал торговать ими по этой причине.

    • У меня есть пара ласт от Cressi с синими лопастями, а у моего соседа по комнате - пара черных Esclapez. Я выбрал Cressi потому, что у них мягче калоша и они лучше сидят на такой узкой ступне как моя. У Esclapez калоша шире и жестче. Обе модели ласт и Esclapez и Cressi выпускаются с жесткими и мягкими лопастями. Я остановился на более мягкой, так как в них, я думаю, у меня меньше шансов заработать судорогу. Когда мой сосед первый раз попробовал поплавать в ластах с черными лопастями, его сразу начинали хватать судороги (сейчас он к ним привык) В моих же мне удавалось намного дольше оставаться в воде и не чувствовать какого-либо дискомфорта. Но сейчас я хотел бы попробовать Cressi с более жесткими лопастями для дайвинга на большие глубины.

    • Мне нравятся Cressi Gara когда я ныряю неглубоко от поверхности воды в бурых водорослях - они более комфортны. В них можно нырять до 12 метров и они есть в наличии во многих магазинах. Из своего опыта могу сказать, что у Esclapez намного хуже обслуживание клиентов.

    • Мне от части нравятся Gara 2000. Они у меня уже три года и они кажутся довольно долговечными. Калоша удобная, но из-за этого вы теряете в энергии при толчке. В Gara не очень удобно плыть по поверхности, так как далеко не вся лопасть находится в воде, лично у меня при этом получается очень маленький и слабый толчок. Для плавания по поверхности воды и дайвинга на небольшие глубины я предпочитаю Sporasub, а для подъема с больших глубин - Cressi.



    Мнения о ластах различных производителей

    С4 Falcon

    • Если вы намерены нырять глубоко -начните думать о приобретении карбоновых ласт! Я пользуюсь С4, сделанных под заказ и разница просто колоссальна.

    • Мне наконец-то довелось опробовать С4 Falcon 40 с калошами от Sporasub - ласты, в которых Brett LeMaster установил свой рекорд, нырнув на 81 метр. Однако сначала я хотел бы перечислить все те ласты, в которых мне доводилось нырять до этого: Sporasub (серые), Sporasub (черные), Omer Record Evolution Pro (карбоновые), Esclapez (черные), Cressi Gara 2000 (синие), Cressi Gara 2000HF (черные) + куча МОНОЛАСТ!… С4 Falcon 40 -- самые лучшие двойные ласты которые я когда либо пробовал. Они не идут ни в какое сравнение с остальными. Однако для настоящих больших глубин, я все же предпочитаю моноласты. В действительности, гребок двумя ластами С4 Falcon 40 одновременно (как это делают дельфины) превосходит по производительности моноласты малых и средних размеров, но все же уступает хорошим моноластам. Однако, моноласты неудобно использовать при охоте и они утомительны для любительского фридайвинга. Для этих целей я выбираю С4 Falcon 40. Перед тем как их купить я хотел опробовать С4 Falcon 80 (любимые ласты Пеллицари - на 15 см длиннее чем С4 Falcon 40 и мягче) и соответственно С4 Falcon 30 (короче С4 Falcon 40 и мягче). Однако С4 Falcon 80 слишком длинные для маневрирования.

    • Просто для информации: С4 Falcon 40 просто класс, в них погружаешься как ни в каких других ластах, не слишком мягкие, но эти ласты просто превосходны для глубоководного дайвинга и не мешают при маневрировании. Но я бы не стал их рекомендовать для ныряния на пляже и в камнях. За те $450, что они стоят, эти малышки делают тебя в некотором роде владельцем Ferrari.



    Esclapez (IMERSION)

    • (Для тех, у кого большой размер ноги) У меня 46 размер ноги ЕЕЕ. Однако, я для себя нашел Esclapez (IMERSION) с открытой калошей, которые великолепно на мне сидят. Я не уверен на счет их размера, но я знаю, что это их наибольший размер с открытой калошей.

     

    • Я пользовался многими ластами, включая ласты в форме утиной лапы (я плавал в них многие годы), которые я использовал когда начал нырять в середине 50-х, да я "дайвер со стажем" (более известен как "старый пердун"). В настоящее время я выбрал: черные Esclapez ---- Esclapez (IMERSION) это ласты с закругленными лопастями, они в меру жесткие и годятся для того, чтобы в них плавать по поверхности. С течением времени Esclapez (IMERSION) теряют жесткость и это становится заметным, по сравнению, например, с синими Gara, но я все же предпочитаю Esclapez (IMERSION).

    JB ESCLAPEZ NOIREJB ESCLAPEZ VERTE

    • Мое мнение по поводу ласт с открытой и закрытой калошей. Я купил себе пару черных Esclapez (IMERSION) с открытой калошей и был ими доволен, при этом у моего друга были черные Esclapez (IMERSION) с закрытой калошей, мы ныряли оба с лодки и я попросил их у него на пару минут опробовать. После трех нырков я убедился, что у ласт с закрытой калошей гораздо большая отдача и на следующей неделе я купил себе такие же.

    • ИМХО, черные Esclapez (IMERSION) с закрытой калошей имеют слишком мягкие калоши для того, чтобы позволить плавать в них техникой Bill's rollover или же одевать их поверх бот. Тем не менее они остаются хорошими ластами средней жесткости и они мне очень нравятся. Я также пользуюсь мягкими ботами с кевларовой подошвой. Я их приобрел в Bluewater Hunter, это очень удобные боты с толстой гнущейся кевларовой подошвой.

    • У меня были как черные Esclapez (IMERSION) (до сих пор где-то имеется одна ласта), так и Gara 2000 (синего цвета). При том, что Esclapez (IMERSION) по моему мнению более подходят для ныряния на глубину, они имеют склонность трескаться после пары сезонов и в них слишком сложно плавать по поверхности.

    • Я немного слышал о новых Esclapez (IMERSION). Когда я купил пару с черными лопастями, то понял, что при серьезном дайвинге они выдержат около года перед тем как начнут проявлять какие-либо признаки изношенности. Я слышал, что они поменяли технологию производства лопастей и теперь они служат дольше. Калоша у них широкая, а резина мягкая и удобная. Лопасти мягкие, но при этом они довольно эффективные.

     

    • Раз уж речь пошла о ластах, то я пользовался черными Esclapez (IMERSION) в течении пяти лет - занимаясь фридайвингом, да я и сейчас ими пользуюсь. Главная причина - их удобство. У меня размер ноги 44,5 плюс высокий подъем. Esclapez (IMERSION) единственные ласты, в которых я могу плавать весь день и при этом не буду испытывать неудобства и меня не схватит судорога. Высокий подъем это особая тема. Я пробовал старые Cressi, которые имели жесткую калошу поверх ступни и это заставило меня от них отказаться. Я не знаю как на счет новых Gara, но мне кажется, что они ничего не изменили в них. Остальные ласты, которые я пробовал, имели все те же неудобства - маленькая и тесная калоша, при этом я не говорю, что перепробовал абсолютно все модели. Я скоро собираюсь взять себе зеленые Esclapez (IMERSION). Должен отметить, что сейчас я не в той физической форме, чтобы плавать в черных Esclapez (IMERSION). Зеленые должны быть помягче и более приспособлены для долгих заплывов. Я сейчас говорю о ластах с закрытой калошей; я как-то был купил зеленые Esclapez (IMERSION), с открытой калошей, так они мне страшно не понравились. Было такое ощущение, что нагрузка при толчке шла лишь на пальцы ног. Я бы советовал держаться подальше от ласт с открытой калошей. Обязательно опробуйте ласты перед их покупкой, так как в этом деле нет ничего важнее, чем комфорт и удобство. Мне нравятся Esclapez (IMERSION), несмотря на то, что я ими натираю себе водянки после пары часов плавания. Чтобы предотвратить это - пользуйтесь силиконовым гелем. Я купил себе размер 44-46, самый большой который они выпускают. При этом я планирую купить Esclapez (IMERSION) с зелеными лопастями для более продолжительного дайвинга.

    • У меня есть пара черных Esclapez (IMERSION). Они просто великолепны! Я не пробовал нырять в других моделях этой фирмы, но эти сидят на мне просто идеально, именно поэтому я и остановил свой выбор на них. До этого у меня был опыт использования Goldfin Beuchat. Esclapez (IMERSION) намного лучше. У них намного лучше толчок при всплытии с большой глубины. Надеюсь, мой комментарий кому-то поможет.

    • Теперь я редко плаваю в моих черных Esclapez (IMERSION) (хотя вчера я в них охотился), так вот, у этих ласт хорошая отдача при толчке и в них удобно плавать в горизонтальной плоскости. Мне бы только хотелось, чтобы они сделали калошу более прочной, а то очень неудобно.

    • Я пользовался ластами Esclapez (IMERSION) на протяжении трех лет и у меня с ними были лишь одни проблемы. Я растер ими ступни до крови после первых же двух дней плавания.

    • Исходя из моего личного опыта могу сказать, что у Esclapez (IMERSION) лопасти жестче чем у Gara и Picassо, но у Omer Tuna Competition еще более жесткие лопасти.

    • Я опробовал зеленые Esclapez (IMERSION) в бассейне и они мне показались просто идеальными. Калоша была удобной, но как по мне, то изгиб над стопой слишком высокий, а это дополнительные потери в мощности. Так же хотелось бы чтобы у Esclapez (IMERSION) была более жесткая подошва, может быть дополнительная внутренняя стелька помогла бы.



    Мнения о ластах различных производителей

    Force Fins

    • Думаю, что Force Fins многим могут понравиться. Я пользовался ими более пяти лет в различных условиях, включая работу спасателем. И почти все это время они меня устраивали. Правда, бывали времена, когда мне хотелось, чтобы в них можно было быстрее ускорится. Прошу учесть, что мой опыт основывается на Force Fins тринадцатилетней давности. Как я понимаю Боб Эванс усовершенстовал их с того времени. Force Fins требуют особой техники гребка, к которой трудно привыкнуть если вы уже плавали в других ластах до этого. Также маловероятно, что опытный дайвер, каким бы сильным он ни был (будь он хоть морским котиком) сможет полностью почувствовать все достоинства Force Fins при первом погружении. Просто обычный толчок ногой в них не работает. Наиболее ярким примером в этом случае может послужить езда на велосипеде, при которой вам необходимо переключиться на пониженную передачу для подъема на горку, при этом вы делаете большее количество движений с меньшими усилиями. Другой же человек, более физически крепкий, может не переключаться на пониженную передачу, при этом он будет подниматься на горку быстрее. Но еже ли вы не переключитесь на пониженную передачу, то вы остановитесь, или будете подниматься очень медленно. Правда это не совсем согласуется с тем, что некоторые говорят о ластах, а именно то, что в них удается покрывать большие расстояния за один взмах. Лично мой опыт этого не подтверждает, но может те, кто так говорит, использует новые длинные "высокопроизводительные" модели? У фридайверов, в отличие от обычных скубадайверов, существуют свои требования к ластам. Чем больше вы двигаетесь, тем больше вы расходуете кислорода. Ласты для фридайверов позволяют достичь больших глубин при минимальном количестве гребков, сохраняя тем самым кислород. Известно, что каждое движение отбирает определенное количество ваших сил/энергии, а соответственно и кислорода, но я подозреваю, что проблема заключается не сколько в кислороде, сколько в аэробном аспекте повторяющихся движений. Может кто-нибудь более квалифицированный может провести детальный анализ аэробного потребления кислорода в сравнении с простым его потреблением. Мне кажется, что это наиболее веская причина, почему не стоит использовать Force Fins и (Bio-Fins) для фридайвинга. Наши мышцы приспособлены для использования длинных фридайверских ласт и поэтому человек, использующий длинные ласты, тратит меньше энергии. Лично я не использую Force Fins ни для скубадайвинга ни для фридайвинга. По крайней мере не ту их модель, которой я пользовался 13 лет назад. Для скубадайвинга я предпочитаю усовершенствованные модели (мне нравятся Bio-fins). Когда же я просто ныряю вокруг лодки, я предпочитаю мои ласты для фридайвинга. Для скубадайвинга в более жестких условиях и меневрирования с аквалангом, я предпочитаю ласты средних размеров и средней жесткости.

    Excellerating Force FinForce Fins

    • Force Fins, в настоящий момент, имеют несколько моделей ласт в своей линейке, которые по некоторым утверждениям годятся для фридайвинга. Я имею в виду - Excellerating Force Fin. Они более мощные и несколько длиннее. Причина, по которой я заинтересовался этой моделью ласт это то, что лично для меня, длинные фридайверские ласты неудобны и плавание в них по поверхности очень утомительно (а я - человек не имеющий лодки и делать приходится это очень часто). Может быть это вызвано моей физиологией - рост 170 см., вес 63 кг. Зато мне легче подниматься на поверхность, чем некоторым из вас ребята. Сейчас я легко поднимаюсь с 15-ти метровой глубины в обычных жестких ластах для снорклинга. Проблема в том, что ниже 15 метров они становятся как вареная "лапша" (мой максимумна сегодня 20 метров, котоый я надеюсь побить в правильных ластах!) У меня была возможность попробовать обычную модель Force Fins - дело было в бассейне. Поначалу я чувствовал себя в них немного странно, но быстро привык, и знаете, что я вам скажу, - плыл в них по поверхности быстрее, чем в каких-либо ластах, которые я пробовал до этого. Вопрос только в том, остаются ли они такими же хорошими и на 10-15 метрах?

    Extra Force Fin

    • Когда я занимался обучением скубадайверов, то несколько из моих учеников купили себе Force Fins. Одним из достоинств этих ласт является то, что новичкам не требуется затрачивать много усилий. В них очень удобно грести назад из-за переднего изгиба лопасти. В них не разовьешь большой скорости, но для новичков, только начинающих использовать новые мышцы это только плюс, который не позволит им заработать судорогу или сразу же их утомить. У меня нет Force Fins и я не планирую покупать себе их, но все же есть некоторые области в дайвинге, в которых они могут использоваться.



    Мнения о ластах различных производителей

    Mares

    • Я пока не слышал, чтобы кто-нибудь упоминал о ластах Mares Attack, которые, если я не ошибаюсь, имеют карбоновые лопасти, покрытые пластиком? Это единственные "карбоновые" ласты, с которыми я могу справиться, при этом они очень долговечны и имеют неплохие характеристики. На сколько я знаю они такие же как и Sporasub Radical - карбон в середине и полиуретан по бокам. В принципе Mares и Sporasub выступают вместе в HTMS спорте. Я слышал хорошие отзывы о Radical от нескольких людей, использующих их даже в тех местах, где есть скалы. Другие говорят, что у них много раз трескались Mares Attack, хотя, может, все зависит от стиля плавания?

    • Mares хорошие ласты, но все же мягковаты. Общая длина чуть короче тех, которые указаны выше и характеристики так же похуже. Я бы не покупал их для серьезного фридайвинга. Может быть они будут хороши для снорклинга в или же в тех местах, где много острых скал.



    Мнения о ластах различных производителей

    Omer

    • Я пользовался Omer Tuna Competition. Они мне понравились, но калоша немного широковата. Лопасть жесткая, но очень гладкая, при этом в них гребок получался короче, поэтому мне приходилось продлевать гребок по сравнению с Cressi, Picasso и Esclapez. Они выпускают их в следующих размерах: 43-45, (9 1/2 - 10 1/2).Калоша была действительно очень широкой и моя нога постоянно в ней ерзала, при этом она очень жесткая и при плавании издавала резкий звук наподобие скрипа. Я попробовал некоторые уловки - надел поверх моих омеровских 3мм носок обычные спортивные носки и они стали сидеть на мне как влитые. Во время моего последнего погружения я просто не мог нарадоваться как хорошо они стали на мне сидеть. Они у меня были недолго, поэтому ничего не могу сказать об их дролговечночти, но то что у них сменные лопасти - безусловно является большим преимуществом.

    Tuna Competition

    Tuna Competition очень жесткие и не подходят для длинных заплывов.

    OMER Millenium Competition (вместо Tuna Competition)

    Мне приходится делать специальные упражнения для поддержания физической формы и использования всех их качеств. Возможно, мне бы подошли более мягкие лопасти. Короче, мне нравятся ласты Omer из-за их поступательного движения. В них очень хорошо двигаться и в них очень хороший мягкий толчок….. Tuna хорошие ласты, но очень жесткие для обычной модели. Очень хорошие ласты для подъема с глубины, но в них трудно плавать по поверхности.

    • Мне нравятся пластиковые лопасти Tuna, так как они самые жесткие, которые мне удалось найти. При этом я вставил их в калоши от Sporasub.


    • Я недавно приобрел пару ласт Tuna от Марка Лабоцетта и они просто бомба! Мои прошлые ласты (Esclapez с черными лопастями) были неплохими, но Omer превзошел их по всем статьям. Довольно жесткие ласты, но не настолько, чтобы вы не смогли бы быстро грести по поверхности. Пока не пробовал их на серьезных глубинах, но с 20 метров они вынесли меня и мой 6-ти килограммовый пояс словно пушинку. Калоша тоже удобная. Все в одном, хорошие ласты, дешевле многих других ласт, которые вы можете найти в магазинах. Настоятельно их рекомендую



    Мнения о ластах различных производителей

    Picasso

    • Picasso неплохие ласты. Я, правда, не пробовал ничего кроме карбоновых Black Team. Калоша довольно удобная и вы можете менять лопасти по мере улучшения вашей физической формы. В последних тех, что я пробовал, калоша была довольно жесткой. Но я разочаровался в них, так как лопасти были слишком хрупкие. Я поломал обе, менее чем за месяц плавая на пляже. К тому же они издают звуки, типа ВАУ-ВАУ при толчке. Я не знаю что за пластиковые лопасти они сейчас производят, но одна из замененных мной черная пластиковая лопасть более гладкая и более мощная.

    Picasso Black Team Picasso START

    • Я использую свои Picasso чаще всех других ласт, у меня их всего 3 пары. Мне нравится в них их гибкость и мощь. У этих ласт очень эффективная калоша. Когда вам необходим взрыв скорости - они очень отлично реагируют. Но вам необходимо держать в форме ваши ноги для этих крошек, а то они так и норовят разъехаться при гребке, но при обратном гребке они опять легко сводятся вместе.

    • Я использую ласты Picasso и они мне нравятся. Резина на калоше очень толстая, что дает вам надежную опору. В них я не натираю больше ноги и не растягиваю икры.

     

    • Ласты Picasso хороши для северо-калифорнийских вод, потому, что мы здесь любим охотиться в засаде на дне - там где рыба. У нас тут водятся yellowtail или WSB, которые любят крутиться вокруг бурых водорослей. Но в Picasso многие устают после пары дней хорошей охоты, я бы сказал, что у них жесткие лопасти. Вывод: покупайте любые длинные ласты, которые хорошо на вас сидят.

    • Ласты Picasso с красными лопастями это - старая версия модели START. Их прекратили выпускать в 1999, и с этого момента их начали выпускать с зелеными лопастями. Эти ласты предназначались для снорклингистов, может быть, именно по этому они были именно такого цвета.



    Мнения о ластах различных производителей

    Sporasub

    • Я новичок во фридайвинге: впервые я начал нырять в1957, когда я и понятия не имел, чем я занимался и что это такое. Это было просто развлечением. Второй раз я начал этим заниматься два года назад. Я пробовал понырять с моими дайверскими ластами - просто отстой. Если вы когда-либо видели обычного скубадайвера, то он гребет своими ластами как будто едет на велосипеде. Так что я полагаю, что производители выпускают дайверские ласты, рассчитанные именно на такой стиль плавания. Я купил себе пару Sporasub - не тех что с жесткими лопастями, так как я никогда не натренирую свои ноги как те ребята, которые ныряют по три-четыре раза в неделю в Калифорнии в бурых водорослях. Эти тоже оказались полным отстоем. Лопасти поломались менее чем через 2 недели их использования, когда я был в Bonaire в прошлом мае. После этого я купил себе омеровские лопасти для замены, которые подходят для калоши Desault/Sporasub и они оказались намного лучше.

    <b>OMER Millenium Competition (черные) и Sporasub H.Dessault (зеленые)</b>

    • Никогда их не любил. Лопасти у них не из лучших, но, по крайней мере, вы можете подобрать им замену.

    • Полная противоположность Esclapez (IMERSION). Несмотря на то, что у этих ласт очень толстая резиновая калоша, ощущение такое, что это не ласты, а вареная лапша. Стоит ли мне еще что либо добавить?

    • Я наблюдал как ласта изгибается в воде, так она не изгибается полукругом как Esclapez (IMERSION) или Cressi, а явно складывается в одном месте - как раз на конце ребер жесткости. Я готов спорить, что они из-за этого менее эффективны. Именно (или возможно) из-за этого Sporusub очень хороши при плавании на поверхности. Калоша у них просто превосходна, так что если заменить лопасти, то эти ласты могли бы быть лучшими из всех.

     

    • Я был дилером Omer и я использовал калоши Sporasub. Я думаю, что у них самые удобные калоши, которые я у когда-либо видел. При этом у вас есть выбор из 4 размеров место трех. Оригинальные пластиковые лопасти Sporasub как вареная лапша и вы сразу можете их выбросить. Они намного мягче Omer Tuna. Мне нравятся пластиковые лопасти Tuna Competition, так как они самые жесткие из всех, что я знаю. Я их использую их с калошами Sporasub.

    Sporasub Radical

    • Наиболее удачные из всех ласт Sporasub - " карбоновые". Я пробовал в них нырять на большие глубины (45м) и они по своим характеристикам почти не отличались от карбоновых. При этом они не были достаточно устойчивыми, так как у них нет резиновых ребер жесткости на конце лопасти (которые применяются на карбоновых ластах, предназначенных для погружений на большие глубины), но в них было удобно маневрировать. Из всего того, что я использовал, я выбираю для серьезного фридайвинга (т.е. для установления рекордов) калошу от Sporasub с хорошей карбоновой лопастью (мне нравятся те, что пожестче), а для всего остального - калошу от Soporasub и частично "карбоновые" лопасти Sporasub Radical.

     

    • Кажется Sporasub больше не предлагает различные пластиковые лопасти, лишь бывшая профессиональная модель (72см./4мм толщиной), плюс Radical пластик+карбон и чисто карбоновые лопасти. Desault Sub до сих пор предлагает две пластиковые лопасти для своих ласт (не считая карбоновых): бывшие Standard (64см/3мм) и Pro (как и те, что выше). У них была еще одна модель, которая была такой же длинной как и Pro (72см), но при этом такой же же тонкой, как и стандартная (3мм) - она была просто превосходной для плавания по поверхности.

×
×
  • Создать...